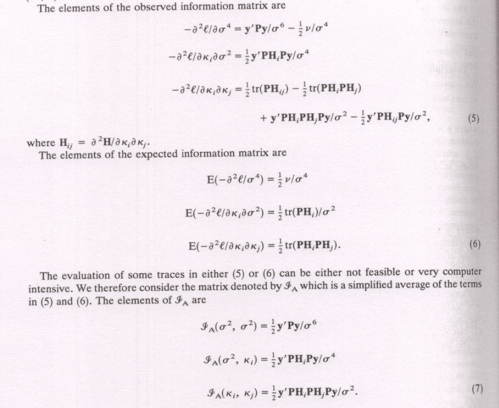
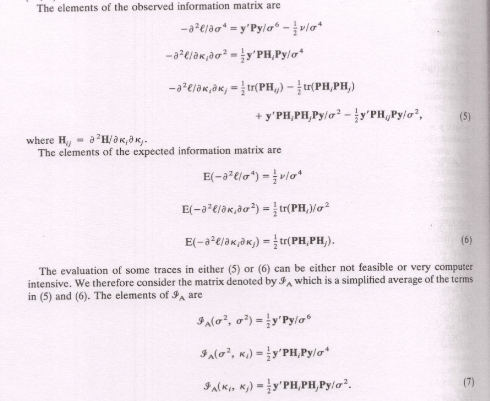
observed information matrix(OI)와 expected information matrix(EI)를 이용하여 average information matrix를 만들 차례이다. 이름에 average가 들어가 있으므로 OI와 EI의 평균일 것이라 생각할 수 있다. 그러나 그렇지 않다. Gilmour의 Average Information REML An Efficient Algorithm for Variance Parameter Estimation in Linear Mixed Models 논문에는 simplified average 라고 나와 있다. 이게 무슨 뜻이냐. trace는 계산하기 힘들므로 trace를 quadratic form(y'Qy)으로 대체(또는 근사?)한 후 평균을 구했다는 뜻이다. 그렇게 해야 계산도 빨라지고, positive semidefinite이 보장되어 계산이 된다는 뜻이다. 즉 빠르고 안정적으로 수렴하는 AI-REML 알고리즘을 구현할 수 있게 된다.
Gilmour의 논문에 나오는 observed information matrix, expected information matrix 및 average information matrix는 다음과 같다.

그리고 Larry R. Schaeffer의 2008년도 Animal Models and Estimation of Variance Components에는 다음과 같이 나온다.

observed information matrix와 expected information matrix는 같은 것을 알 수 있으나, average information matrix는 약간 다름을 알 수 있다. 아마도 Schaeffer가 Gilmour의 논문을 인용하며 둘째 식에서 0.5 를 빼먹은 것으로 보인다.
비록 Schaeffer가 0.5를 빼먹었지만 여기서는 Schaeffer의 표기를 기준으로 simplified average를 구해 본다.

셋째 식만 진짜 average 이고 첫째와 둘째는 trace를 qudratic으로 근사하여 average를 간단하게 만든 식이다.
'Animal Breeding > REML Variance Component Estimation' 카테고리의 다른 글
| Newton-Raphson과 Average Information REML (0) | 2025.10.30 |
|---|---|
| 기대 정보 행렬의 유도(derivation of expected information matrix) (0) | 2025.10.29 |
| 관측 정보 행렬의 유도(derivation of observed information matrix) (0) | 2025.10.24 |
| REML log likelihood function을 미분하여 분산성분 추정하기(first derivatives of the natural log of the restricted likelihood function) (0) | 2025.09.18 |
| Derivative Free REML - Simplex Method (1) | 2025.08.30 |