투영이라는 것은 빛을 비추어 그림자를 만든다는 뜻이다. 땅바닥에 비스듬히 꽂혀있는 막대기가 있을 때 땅바닥에 수직으로 빛을 비출 때 그 막대기의 그림자가 투영된 것이다. 중요한 점이 땅바닥에 수직(Orthogonal)으로 빛을 비춘다는 것이고 투영된 것을 다시 투영해도 그대로이다(idempotent)라는 점이다.
고정 효과만 있는 선형 모형, 예를 들어 회귀 분석의 경우 b^hat = (X'X)-1X'y이다. 여기서 -1은 inverse. y^hat은 X'b = X'(X'X)-1X'y 이고, 여기서 X'(X'X)-1X' 를 Projection matrix라고 한다. 어떻게 보면 y를 y^hat으로 변환하는 행렬이라고 볼 수도 있다. 또는 잔차를 y - y^hat이라고 한다면 y - y^hat = y - X'(X'X)-1X'y = (I - X'(X'X)-1X')y 이고, I - X'(X'X)-1X' 부분을 Projection matrix라고 한다. 역시 y를 잔차로 변환하는 행렬이라고 볼 수도 있다. 그러나 변환이라고 하지 않는 이유는 y의 특성을 잃어버리고(기하학적으로는 복원이 안된다는데 여기서는 될 것도 같은데 암튼 ...), 잔차 공간으로 투영되기 때문이다. 위에서 빛을 비출 때 수직으로 비춘다고 했는데 (I - X'(X'X)-1X')에서 X를 곱하면 즉 PX = 0이 된다(orthogonal). 투영한 것을 다시 투영해도(idempotent)도 같다. 즉 P P = P이다. 회귀 분석에서는 이것을 답이 없는 선형 모형을 풀 때, 답에 가장 가까운 답(?)을 찾으려고 할 때, 투영하는 공간에 수직이 되게 투영하는 행렬이라고 매우 어렵게 설명한다. 통계학에서는 매우 중요한 개념인가 보다.
육종학에서도 투영행렬은 마찬가지로 y를 잔차 공간에 투영하는 행렬로 해석될 수 있으나, y 사이의 분산-분공산 행렬의 역행렬을 가중치로 쓴다는 점, 그리고 그렇게 해서 고정 효과 X의 영향을 제거한 잔차 공간으로 투영한다는 점이 다른 점이다. 이 잔차는 임의 효과 u와 e의 분산 G와 R의 영향을 받고, 분산 성분 추정 방법을 거쳐 G와 R을 계산할 때 이용된다. 즉 육종학에서는 REML에서 고정 효과의 영향을 제거하고 G와 R를 추정할 때 쓰인다고 생각하면 될 것이다.
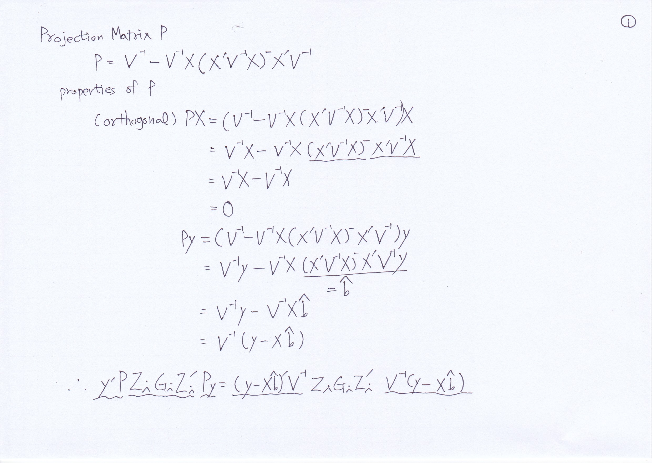
MME가 아니라 BLUP에서 b^hat은 = (X'V-1X)-1X'V-1y 였다. 그러므로 X의 영향을 제거한 잔차 e^hat = y - X( (X'V-1X)-1X'V-1y = (I - X(X'V-1X)-1X'V-1)y 이고, 여기서 P = I - X(X'V-1X)-1X'V-1 인데, V의 역행렬 V-1을 가중치로 주어 최종적인 Projection matrix P = V-1 - V-1X(X'V-1X)-1X'V-1 이다. 이 Project matrix도 orthogonal해서 PX = 0이다. 나중에 분산 성분 추정할 때 P를 어디서 사용하는지 살펴보자.

'Animal Breeding > REML Variance Component Estimation' 카테고리의 다른 글
| trace of Z'ZTZ'Z (0) | 2025.08.13 |
|---|---|
| V, V의 역행렬, P 등의 미분 (0) | 2025.08.07 |
| 공분산 행렬(V)과 MME의 계수 행렬(C)의 행렬식(determinant) (3) | 2025.07.30 |
| 혼합 모형 관측치의 분산-공분산 행렬(V=ZGZ'+R)의 역행렬 (1) | 2025.07.29 |
| Quadratic Form과 분산 성분 추정 (3) | 2025.07.28 |