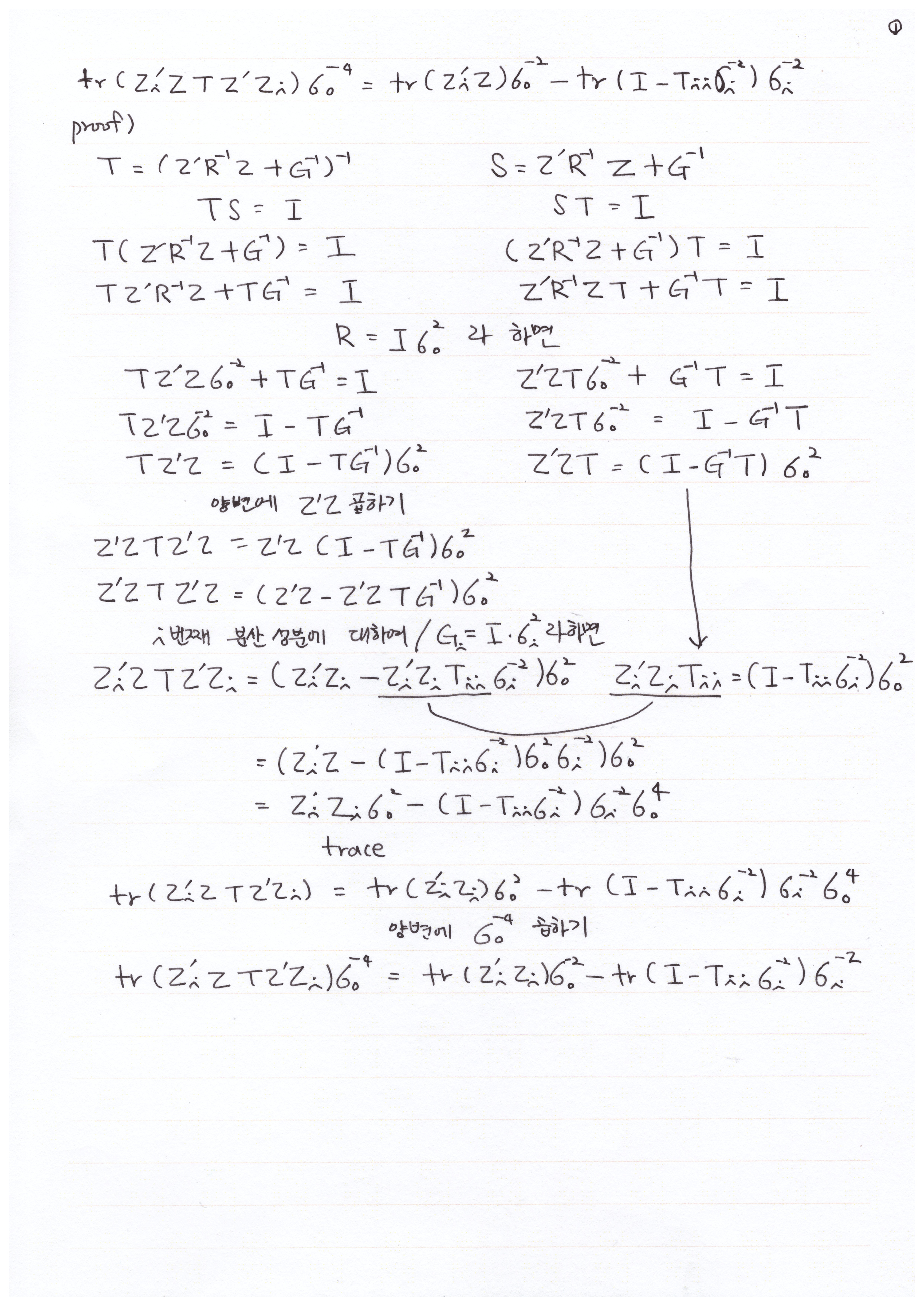
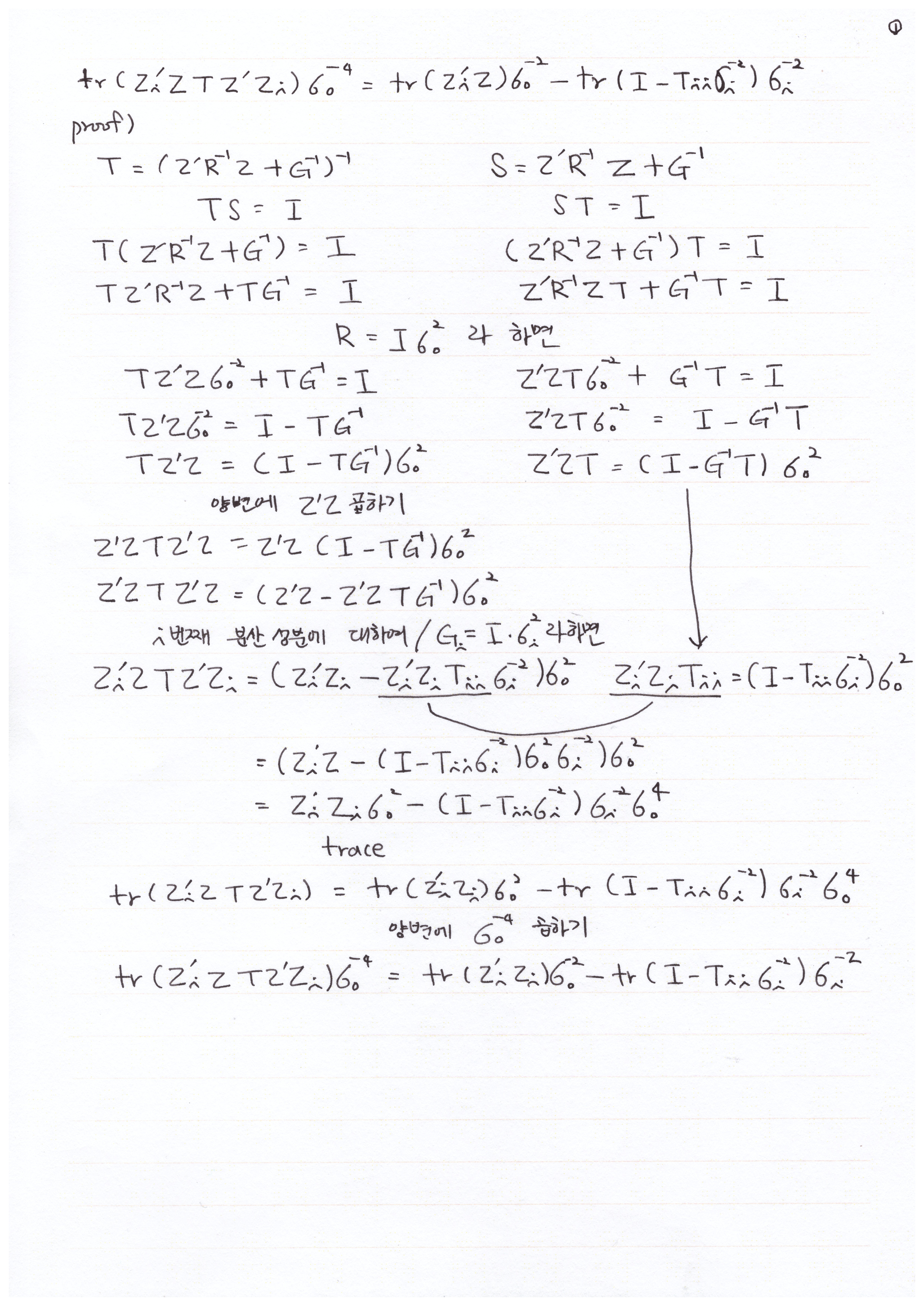
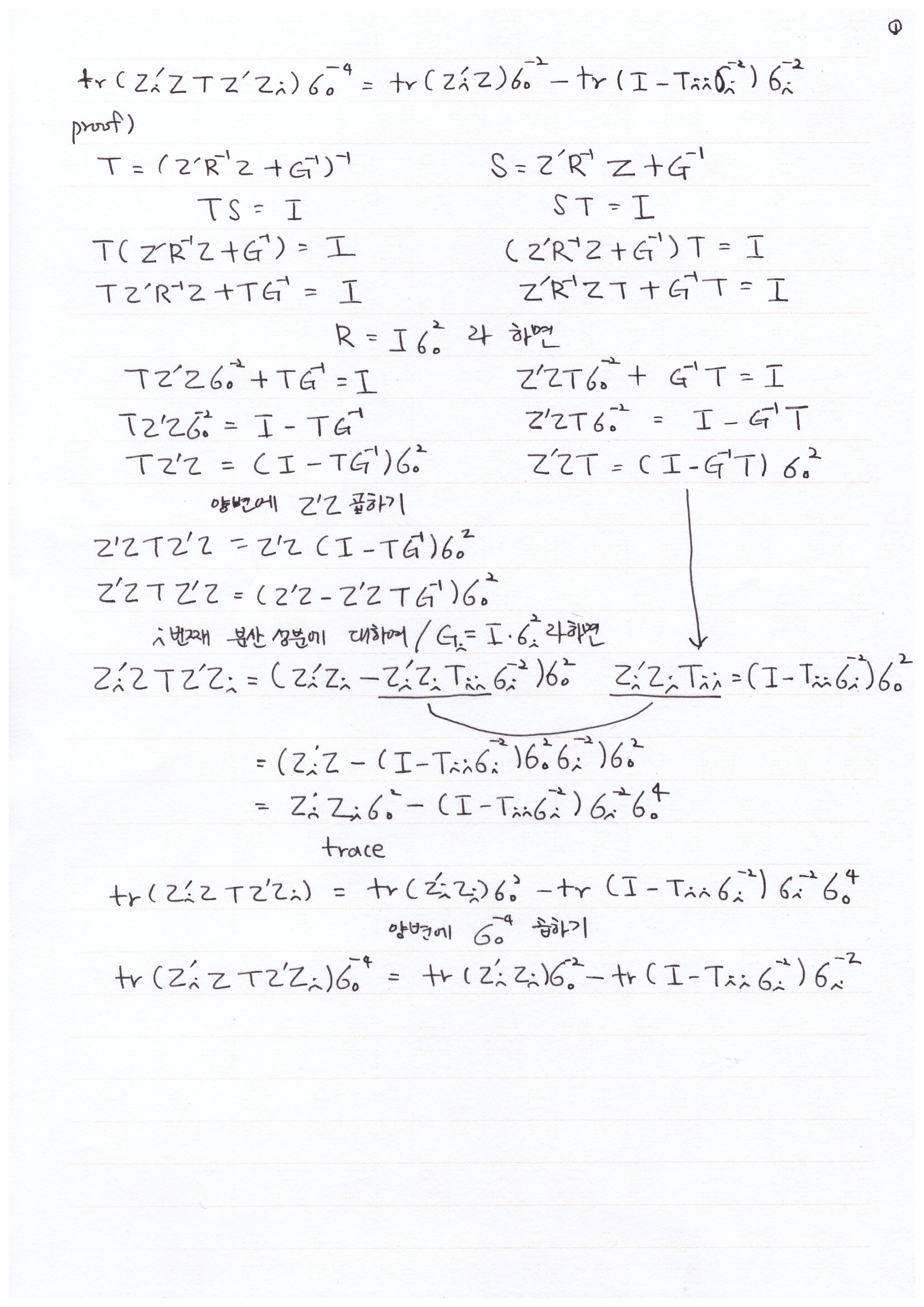
Maximum Likelihood 방법으로 분산 성분 추정하는 공식을 유도하다보면 tr(Z'ZTZ'Z) 비슷한 식을 볼 수 있다. 이것을 다르게 표현하여야 전체 식이 간단하게 되며 결국 ML 방법으로 분산 성분을 추정할 수 있게 된다. 이게 좌변의 식을 변형하여 우변이 되게 하려 했는데 그게 잘 안 되었다. 식이어서 말로 설명하기는 힘드나 암튼 유도가 되었고 결국 분산 성분 추정 관련 식을 간단하게 하는데 결정적 역할을 하게 되므로 한 번 정도 따라 해보면 좋을 것으로 보인다.

'Animal Breeding > REML Variance Component Estimation' 카테고리의 다른 글
| ln|K'VK|, log of determinant of K'VK, K(K'VK)-1K' = P (0) | 2025.08.20 |
|---|---|
| Maximum Likelihood Estimation방법으로 혼합 모형의 분산 성분 구하기 (3) | 2025.08.14 |
| V, V의 역행렬, P 등의 미분 (0) | 2025.08.07 |
| 혼합 모형의 투영 행렬(Projection matrix) P (2) | 2025.08.04 |
| 공분산 행렬(V)과 MME의 계수 행렬(C)의 행렬식(determinant) (3) | 2025.07.30 |