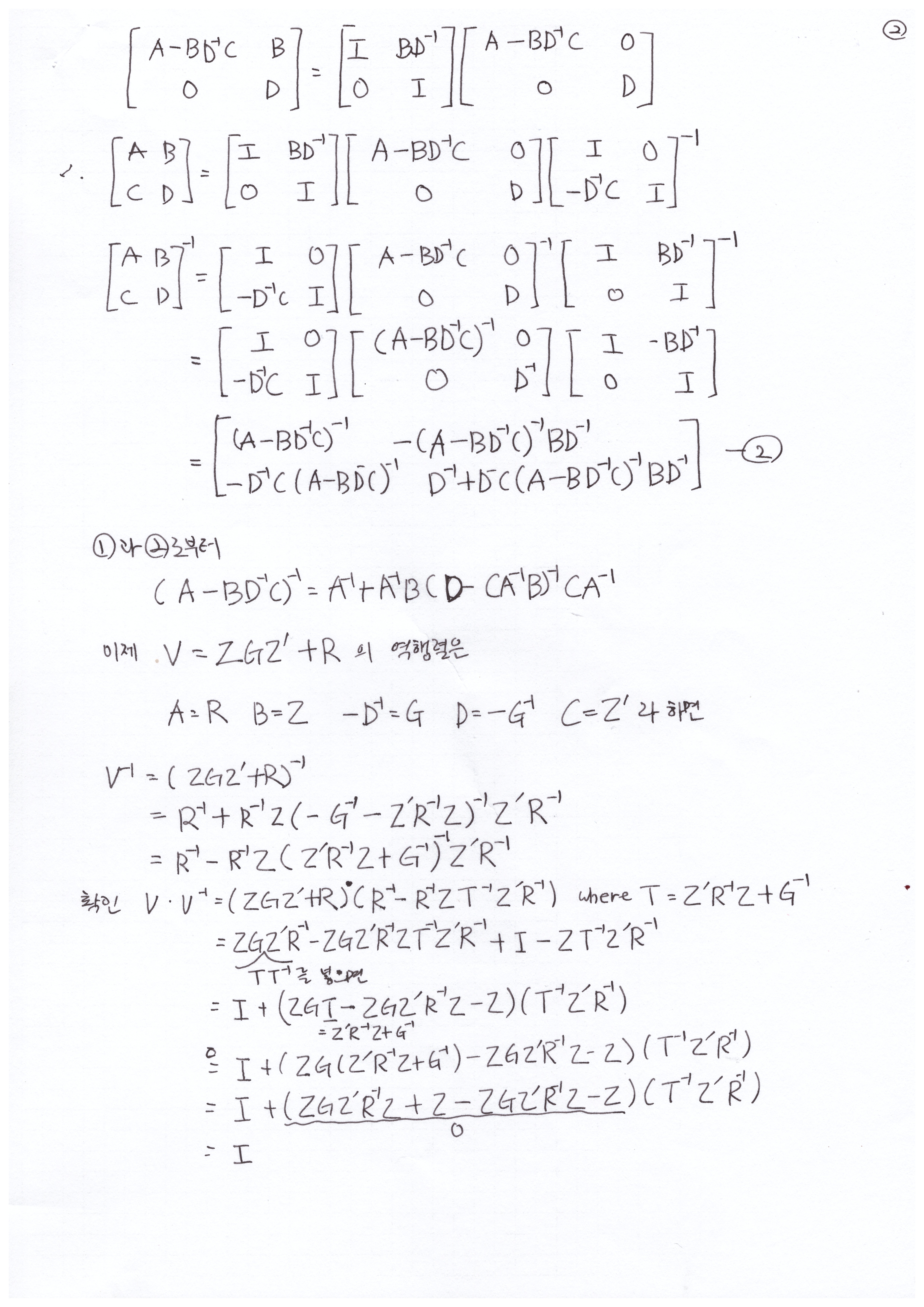
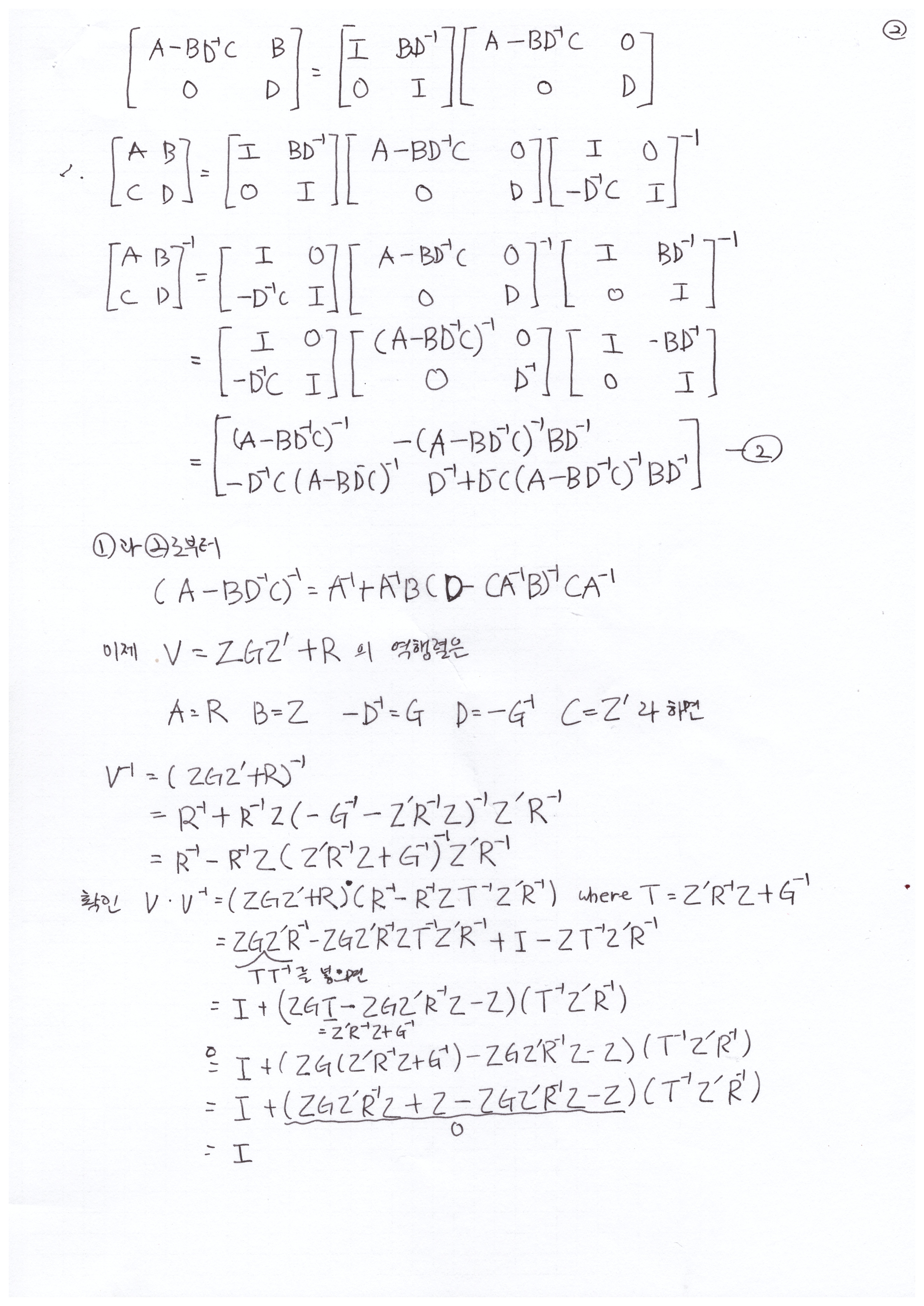
mixed model의 y의 분산-공분산 행렬 V = ZGZ’+R이다. V의 역행렬은 매우 복잡하다. 이걸 어떻게 유도하나 찾아보니 셔먼-모리슨-우드버리 공식(Sherman – Morrison – Woodbury formula)이란게 있었다. 이걸 가축육종학의 mixed model의 V의 역행렬에 적용한 것으로 보인다. 여기서는 셔먼-모리슨-우드버리 공식 유도를 따라가 보고, 결국 V의 역행렬이 셔먼-모리슨-우드버리 공식을 따르고 있다는 것을 보자.
A, B, C 및 D 네 개의 부분 행렬로 이루어진 행렬을 LDU, UDL로 만들어 보고, 그것들의 역행렬을 구해볼 것이다. LDU는 하삼각(Lower), 대각(diagonal), 상삼각(Uppper) 행렬을 말한다.


'Animal Breeding > REML Variance Component Estimation' 카테고리의 다른 글
| trace of Z'ZTZ'Z (0) | 2025.08.13 |
|---|---|
| V, V의 역행렬, P 등의 미분 (0) | 2025.08.07 |
| 혼합 모형의 투영 행렬(Projection matrix) P (2) | 2025.08.04 |
| 공분산 행렬(V)과 MME의 계수 행렬(C)의 행렬식(determinant) (3) | 2025.07.30 |
| Quadratic Form과 분산 성분 추정 (3) | 2025.07.28 |