H 행렬 유도
H 행렬의 역행렬 유도
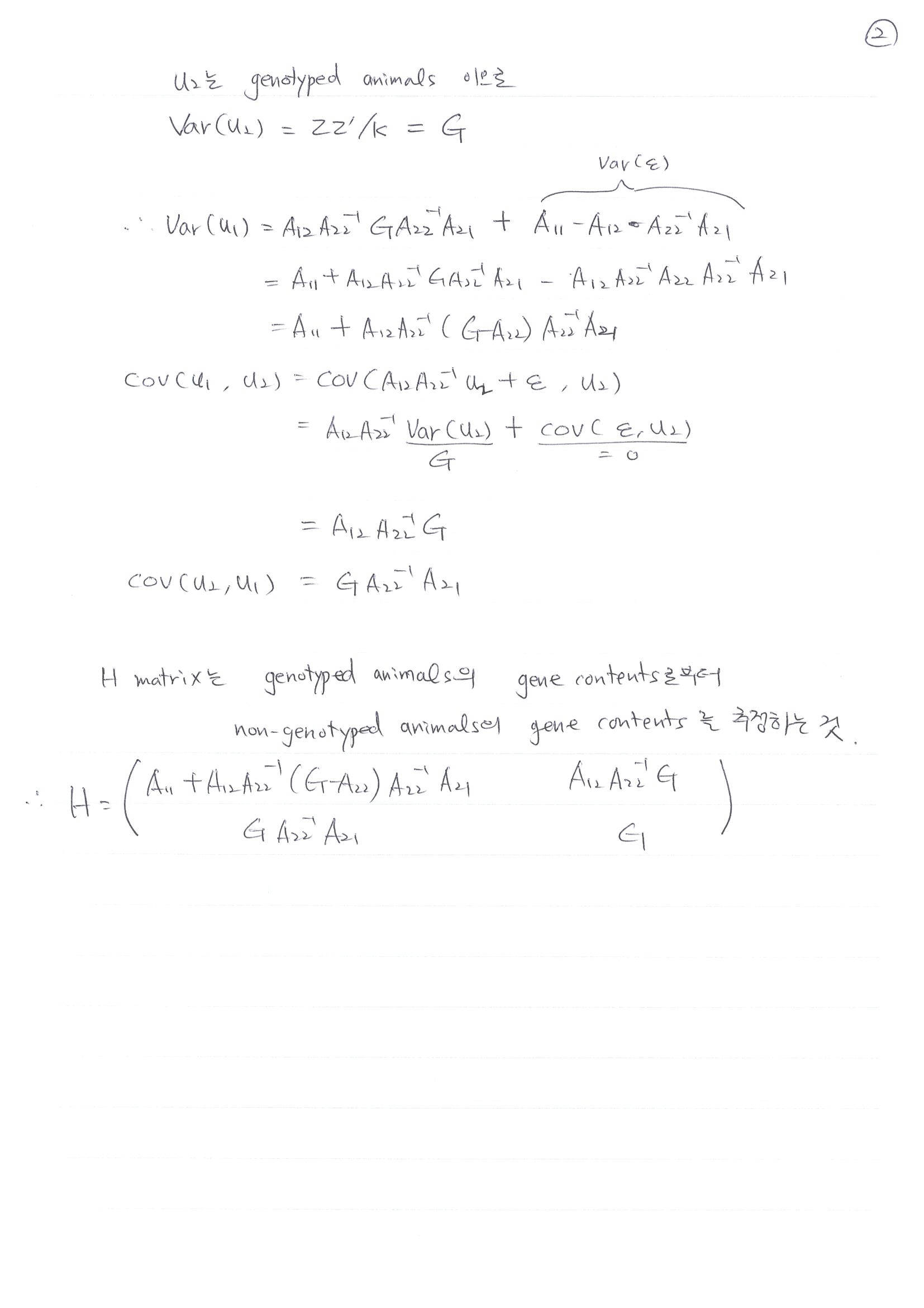
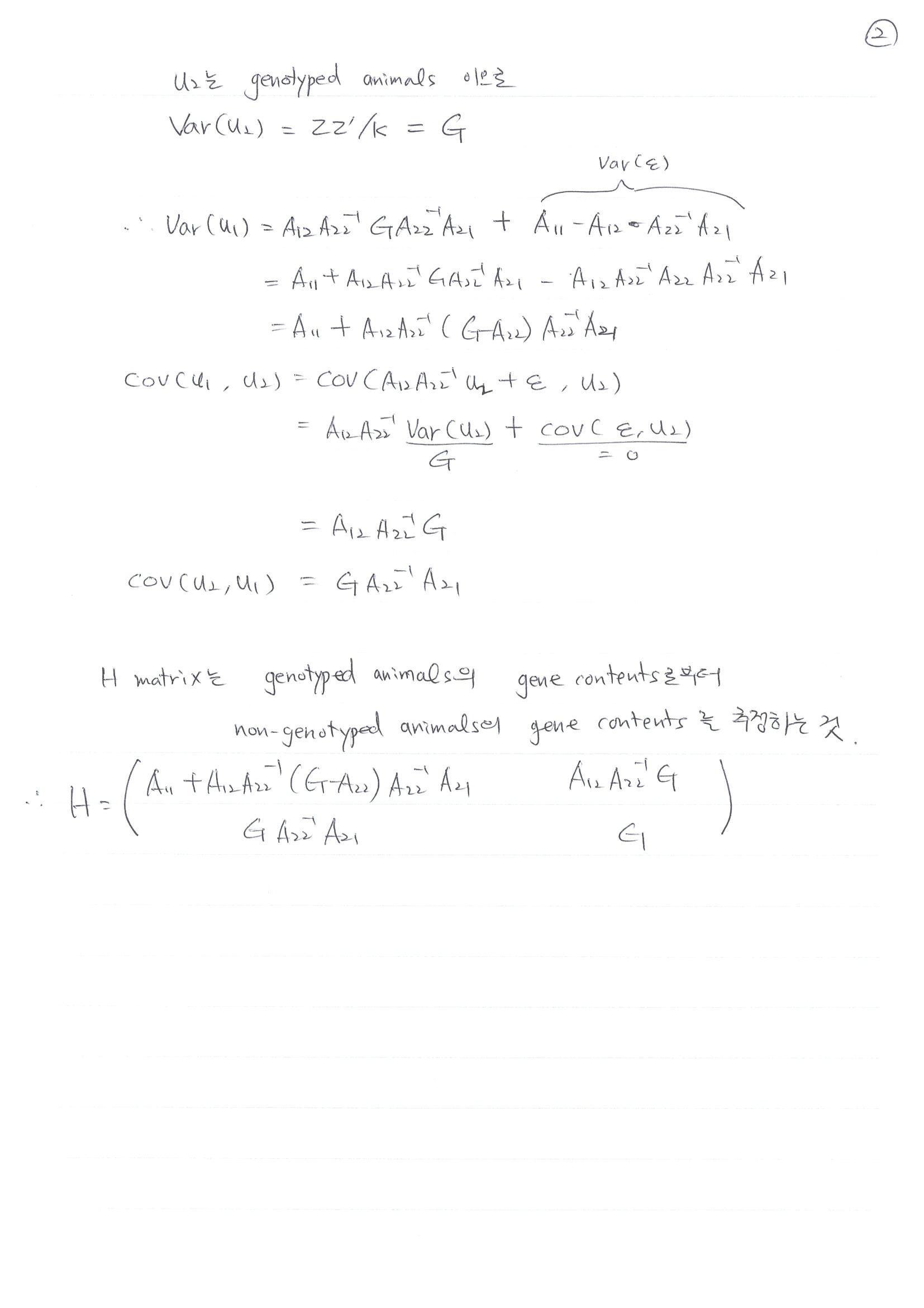
Deriving H matrix
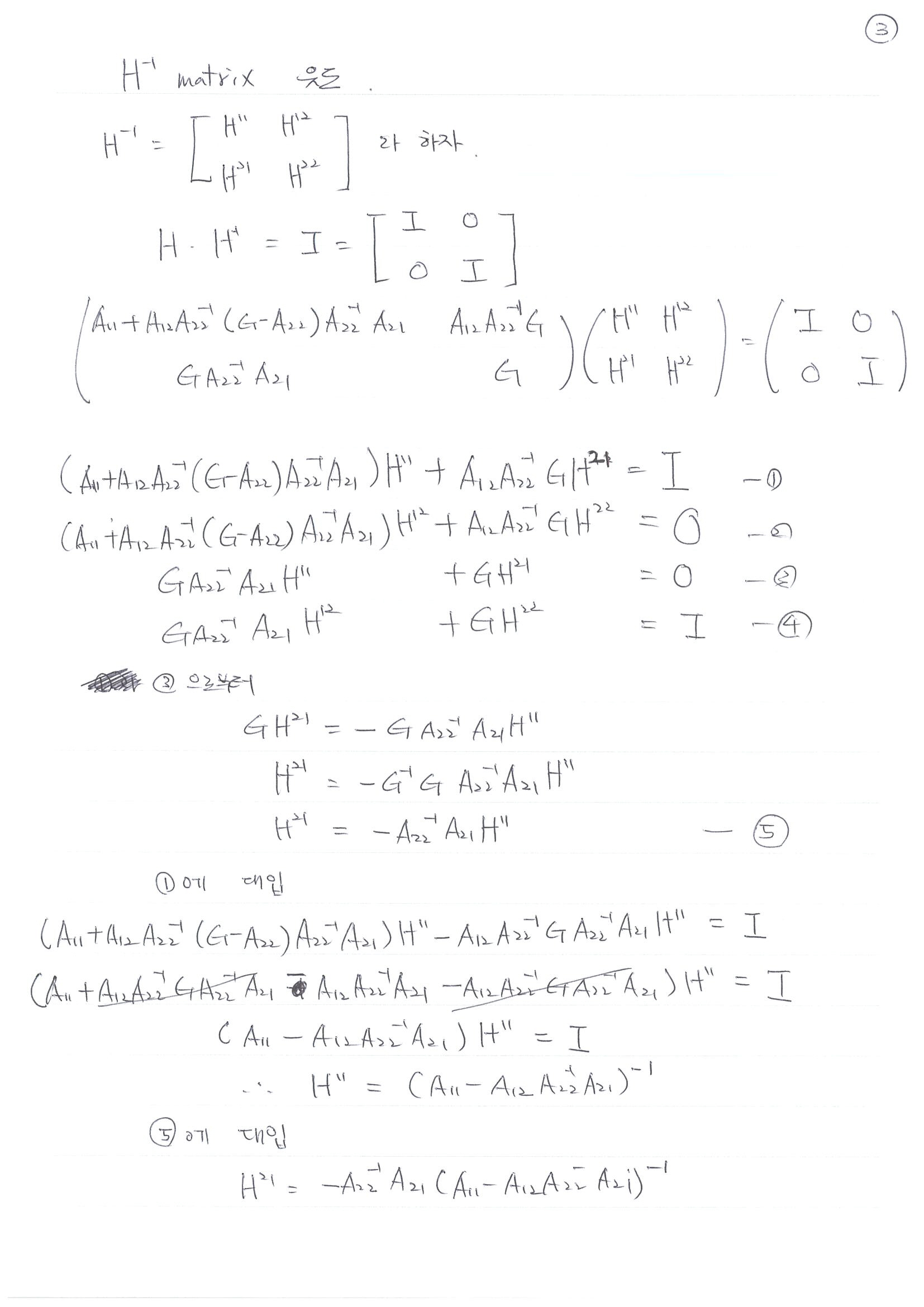
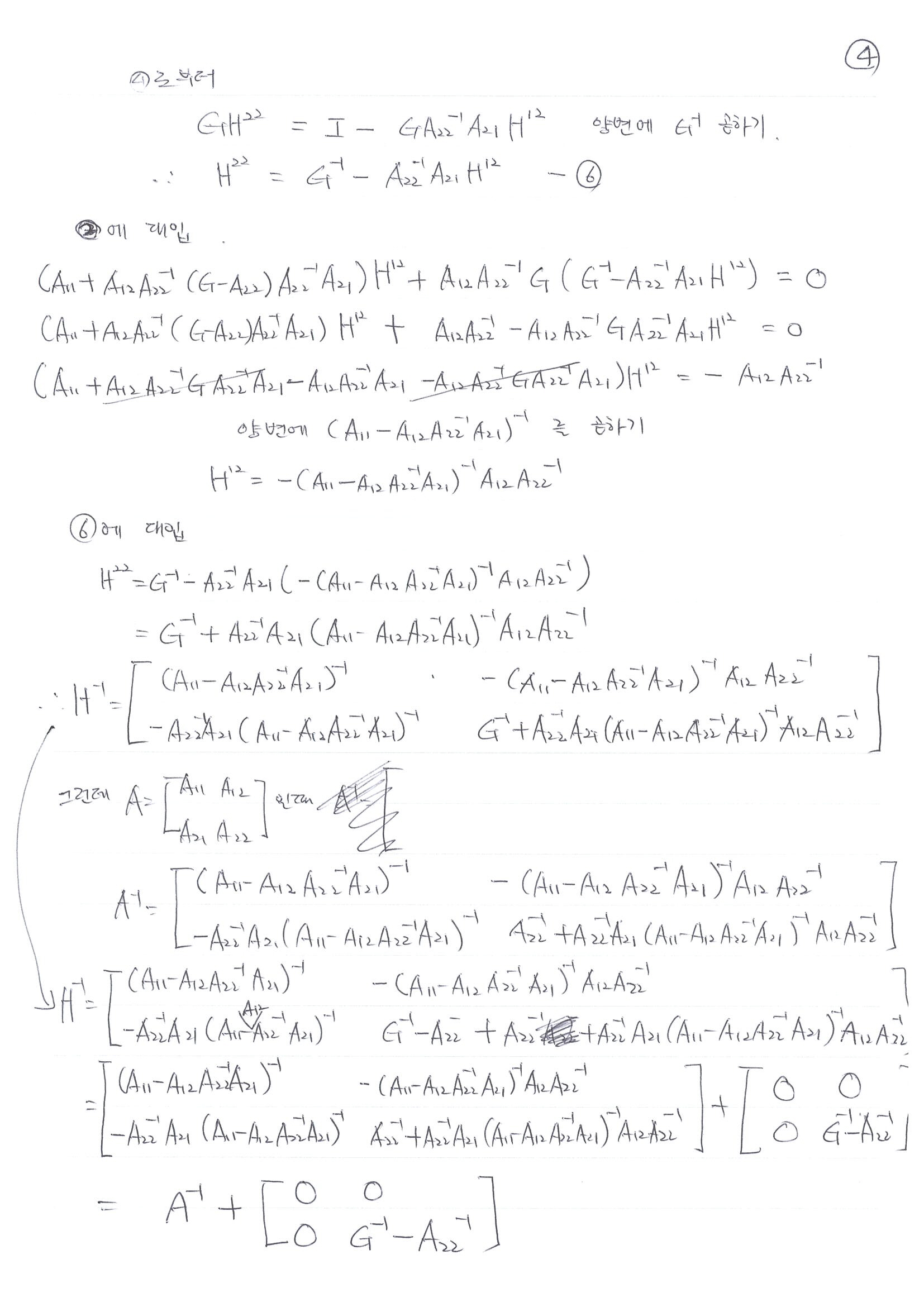
Deriving Inverse of H matrix
single-stepGBLUP의 MME에는 H 행렬의 역행렬이 등장한다. 마치 NRM과 GRM의 적당한 결합처럼 보인다. 아니 무식해서 그렇게 생각했다. 그러나 NRM과 GRM의 적당한 결합이 아니다.
다시 GBLUP을 생각해 보자. GBLUP은 SNP genotyping한 개체들의 GRM을 만들어서 개체들의 GEBV를 추정한다. 집단의 모든 개체들의 GEBV를 추정하려면 모든 개체를 SNP genotyping 하여야 한다. 그러나 한정된 예산 때문에 또는 이미 개체들이 죽어서 genotyping을 할 수 없다. 그러면 죽은 선조까지 포함하여 전체 집단에 대해서 GBLUP을 할 수는 없는 걸까? 이런 질문에서 출발하여 일부 유전체 분석을 한 개체들의 gene content를 이용하여 유전체 분석을 하지 않은 개체(non genotyped animals)들의 gene content를 추정하여 GBLUP을 하자는 것이 ssGBLUP이고 그때 H matrix를 이용하는 것이다.
유전체 분석을 한 개체는 유전체 분석 결과를 이용하고, 유전체 분석을 안 한 개체는 유전체 분석을 한 개체로부터 gene content를 추정하여 만든 GRM이 바로 H matrix이다.
genotyped animals가 주어졌을 때 non genotyped animals의 gene contents의 분포를 이용하는 것이므로 정규 분포의 조건부 분포에 대한 이해가 필요할 수도 있다. 키워드로 conditional normal distribution, mean vector of conditional normal distribution, covariance matrix of conditional normal distribution 등을 이용할 수 있다.




H matrix는 매우 복잡하나, H 역행렬은 매우 간단한 형태를 취하고 있다. 놀라운 자연의 법칙이고, 이걸 알아내는 과학자들도 대단하다. Simple is beautiful.
'Animal Breeding > Genomic Selection' 카테고리의 다른 글
| pregsf90으로 유전체 근교 계수 구하기 (0) | 2023.09.14 |
|---|---|
| 서로 다른 Chip 버전을 이용한 친자감정 및 부모 찾기 (1) | 2023.04.18 |
| SNP Effect를 이용한 DGV(or GEBV) 추정 (0) | 2020.03.05 |
| PostGSF90을 이용한 GWAS (0) | 2020.03.05 |
| SNP Marker Effect 추정 (0) | 2020.03.02 |