박성현 회귀분석 제3판 민영사
제IV편 회귀분석의 확장
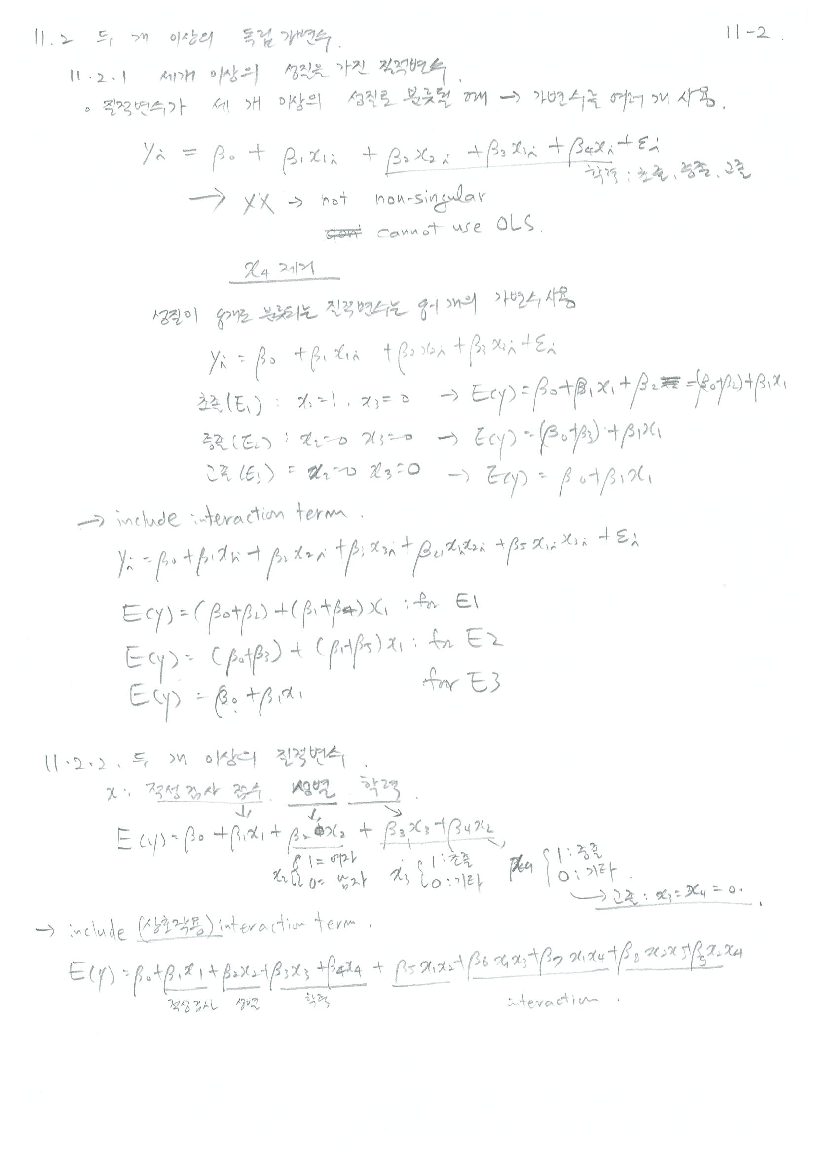
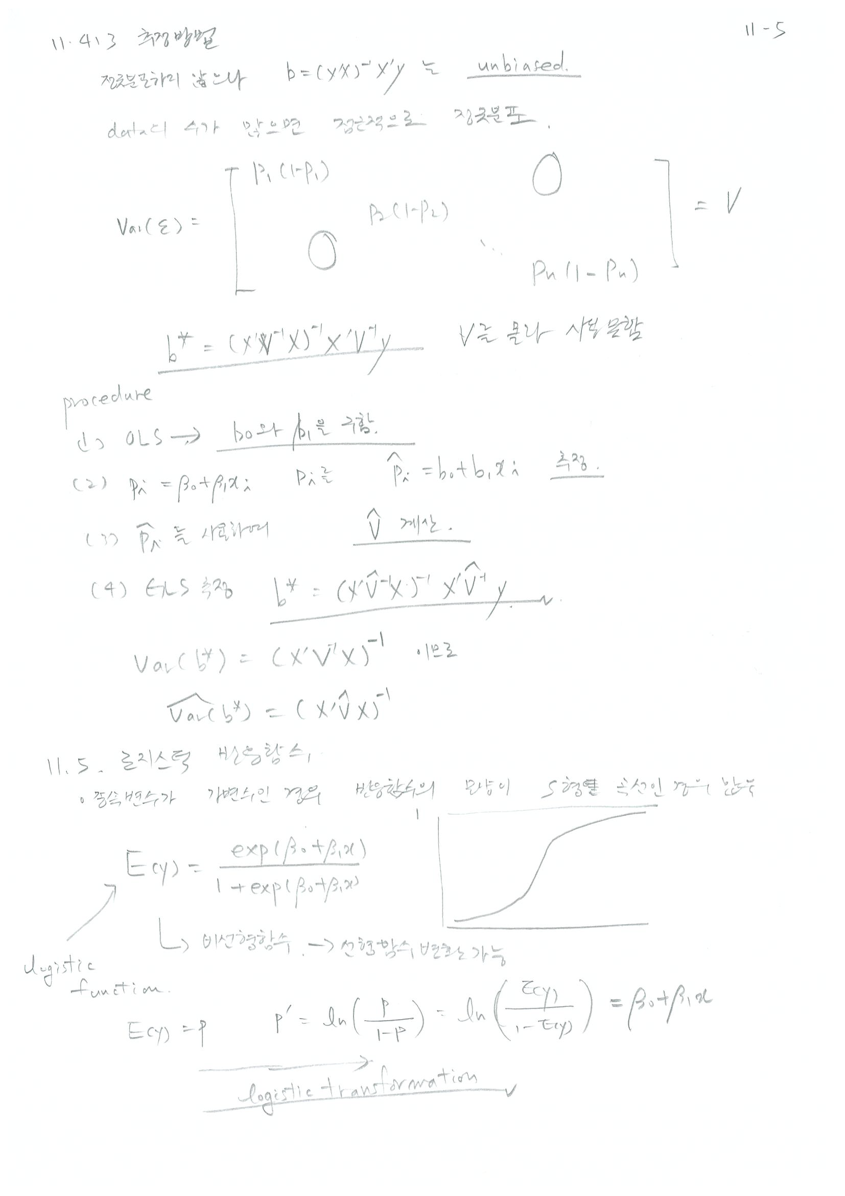
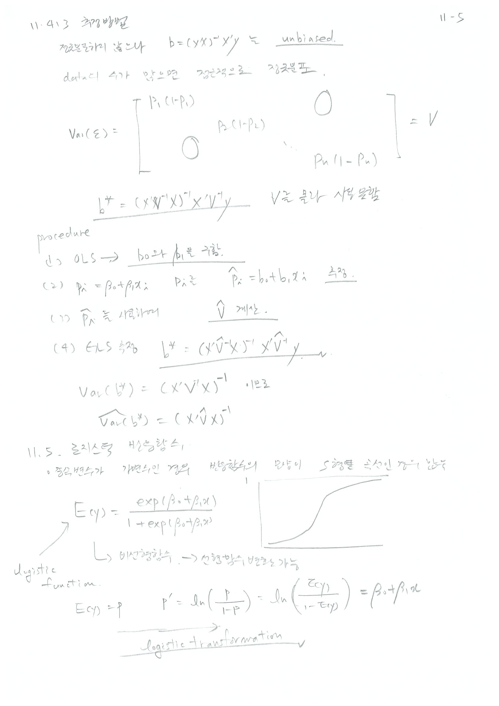
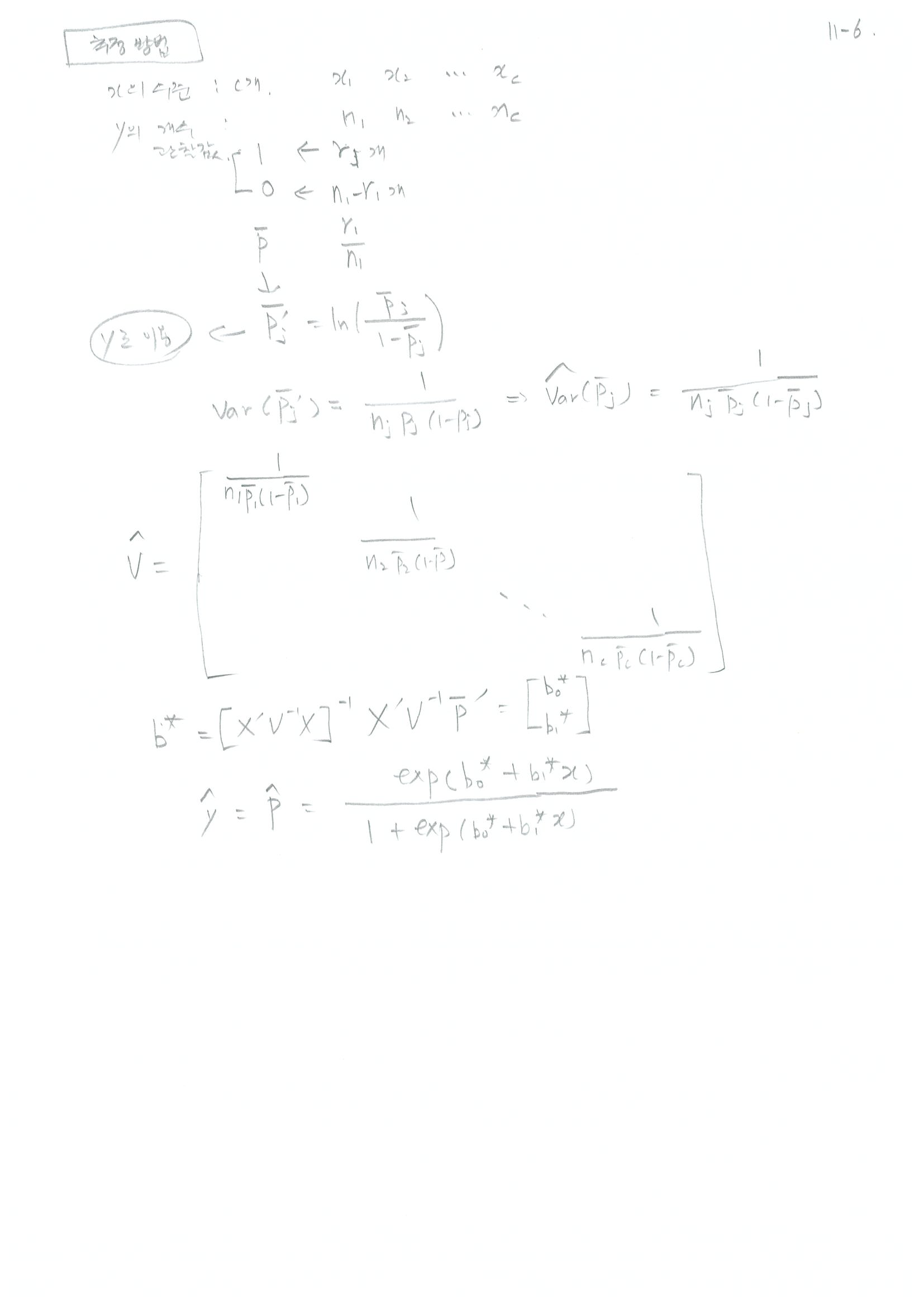
11장. 가변수






'ETC' 카테고리의 다른 글
| The derivative of a determinant(행렬의 행렬식의 도함수, 미분) (1) | 2020.05.21 |
|---|---|
| 회귀분석 - Piecewise regression (0) | 2020.03.01 |
| 회귀분석 - 일반화 회귀분석 (0) | 2020.03.01 |
| 회귀분석 - 다항회귀 (0) | 2020.03.01 |
| 회귀분석-중회귀분석의 추정과 가설검정 (0) | 2020.02.21 |