박성현 회귀분석 제3판 민영사
제III편 중회귀분석
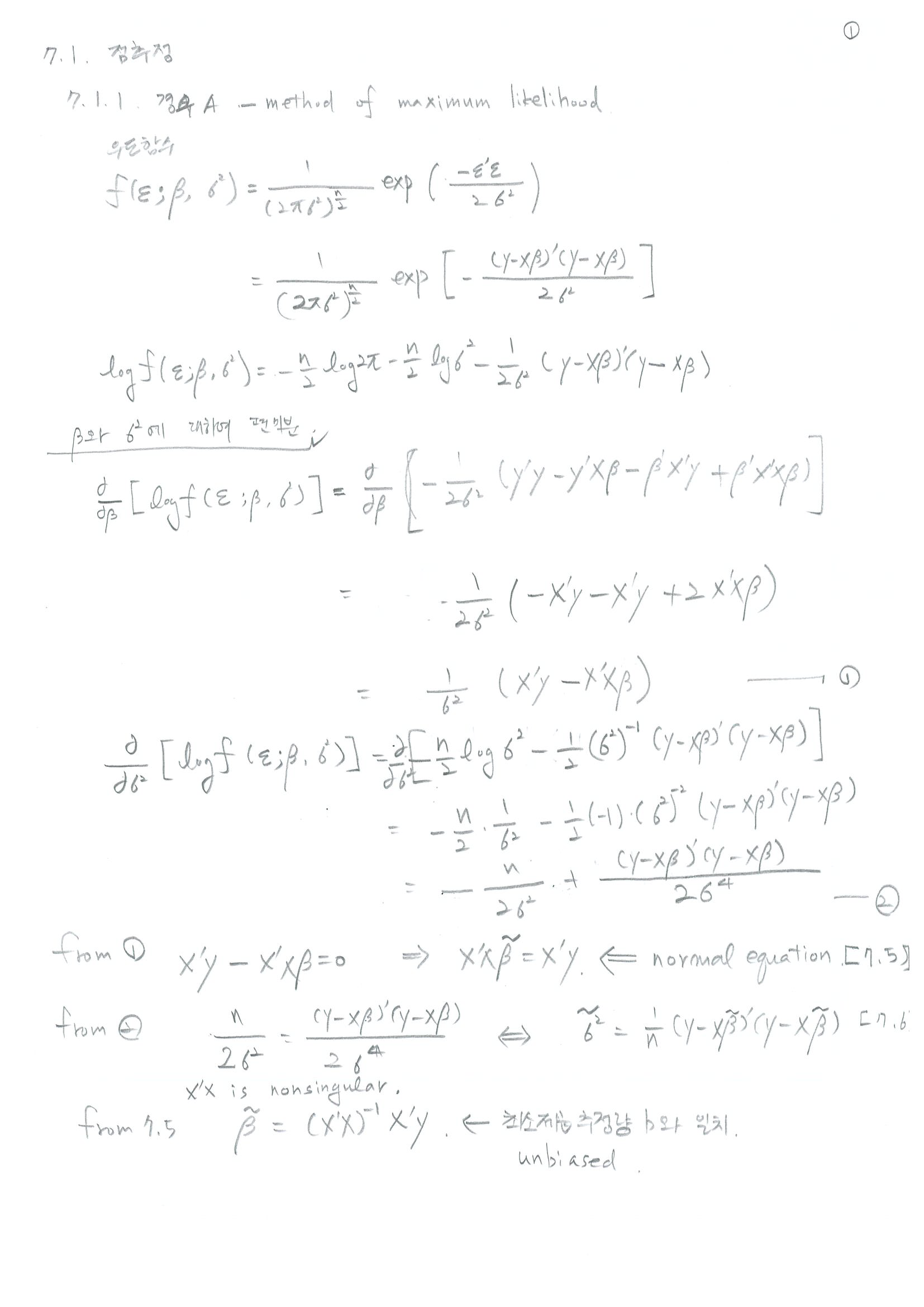
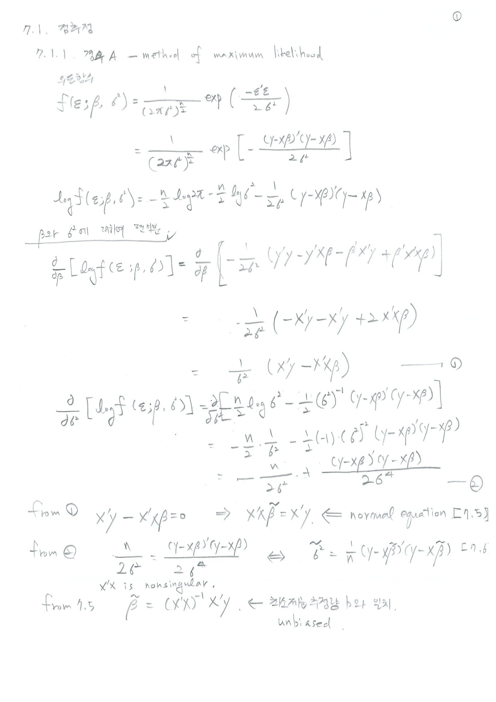
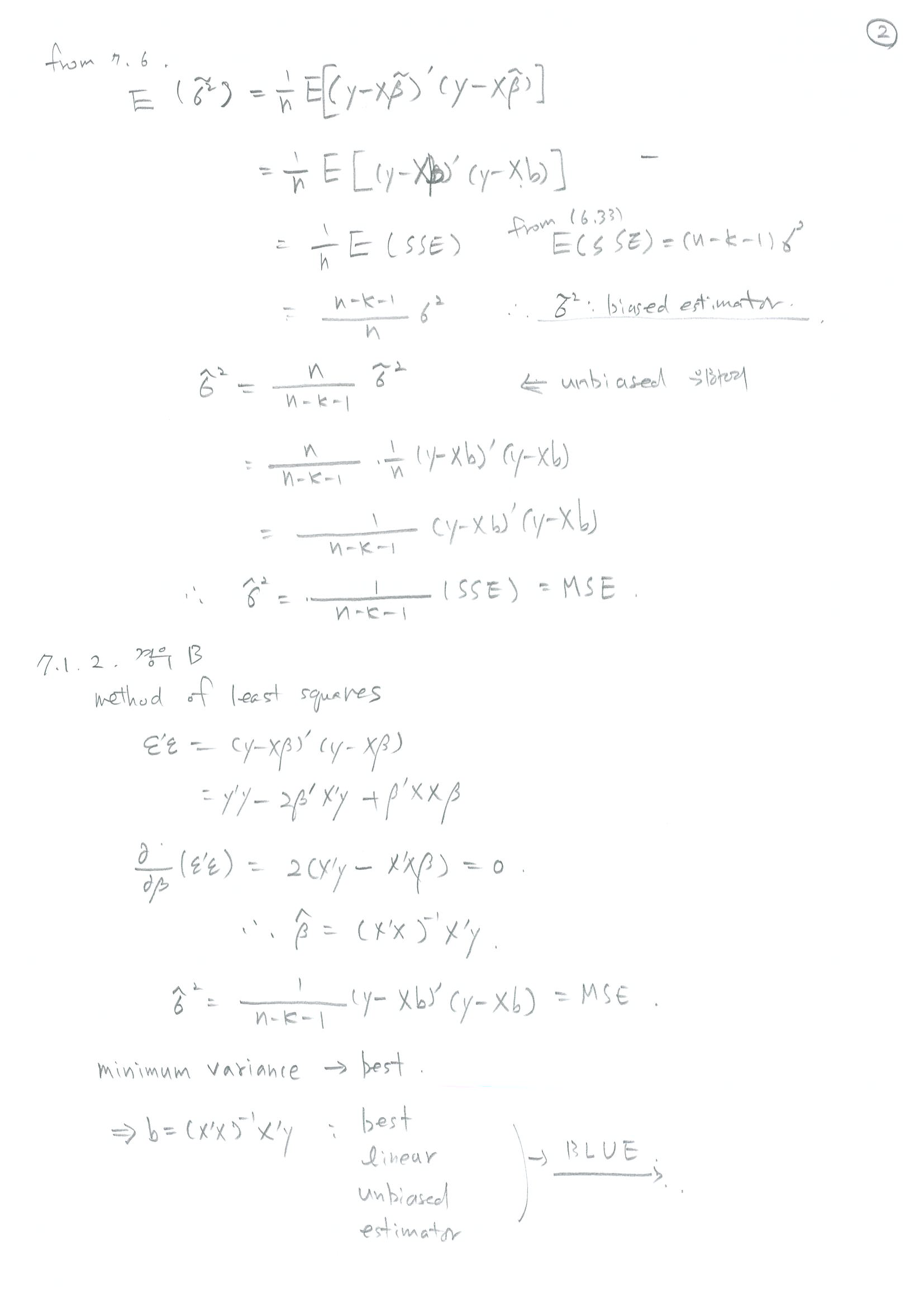
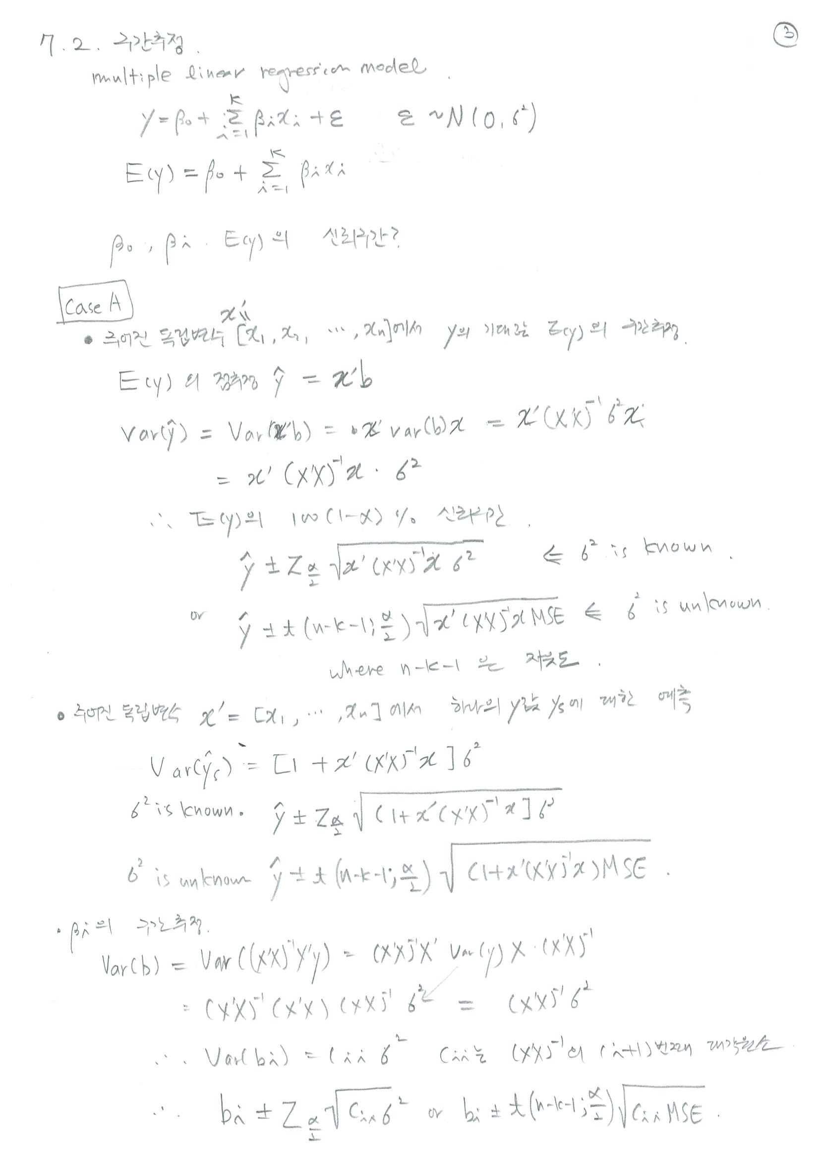
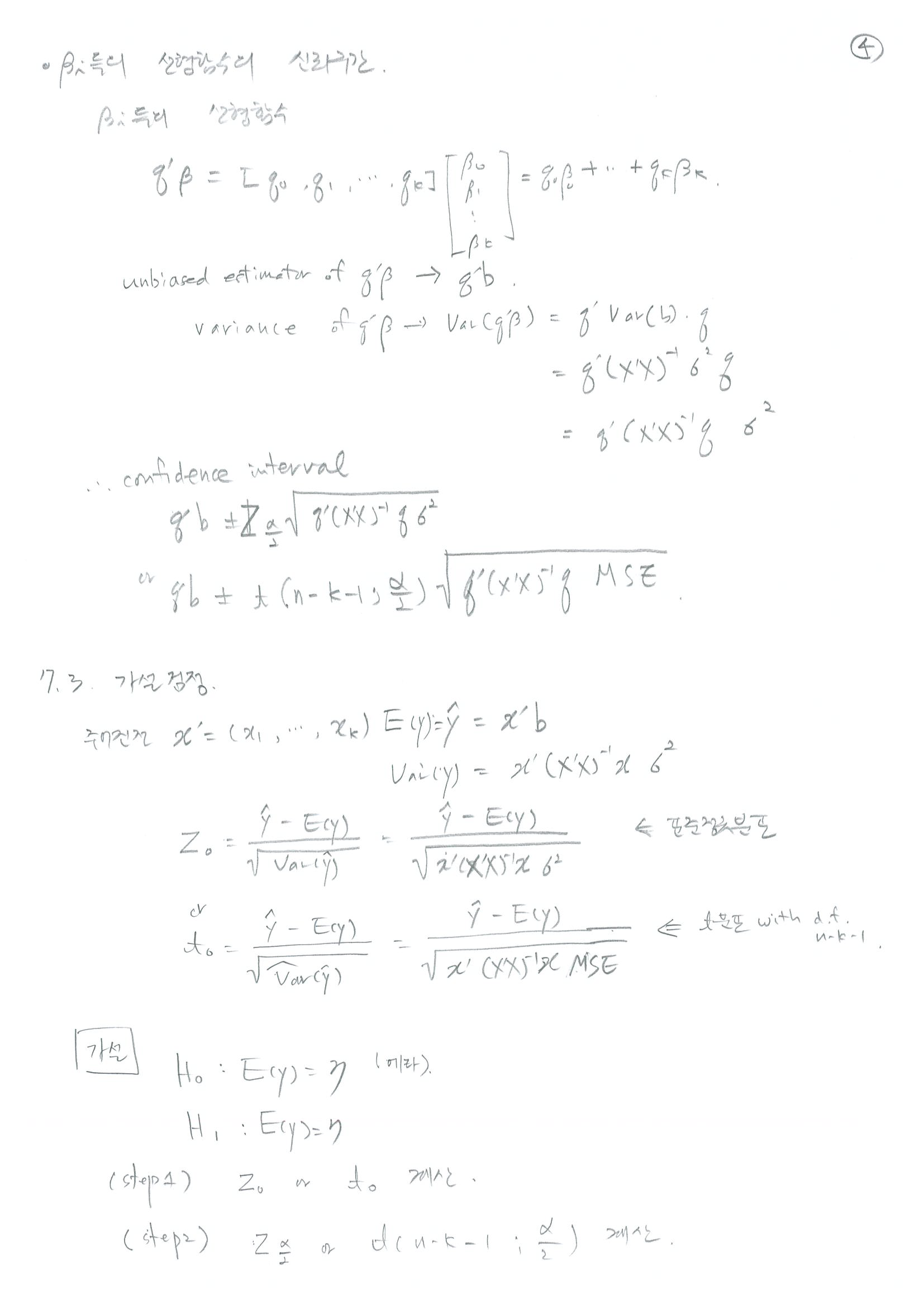
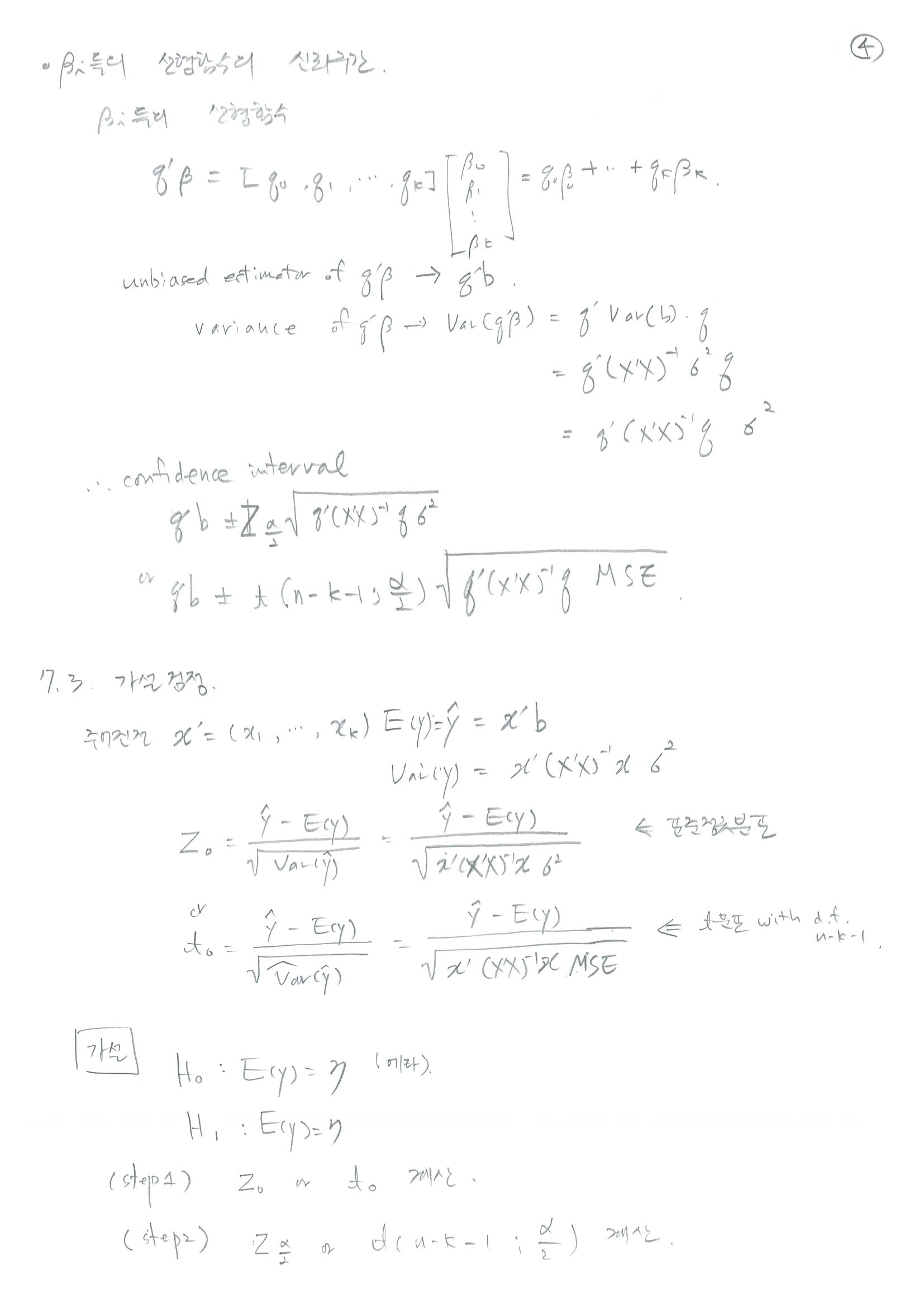
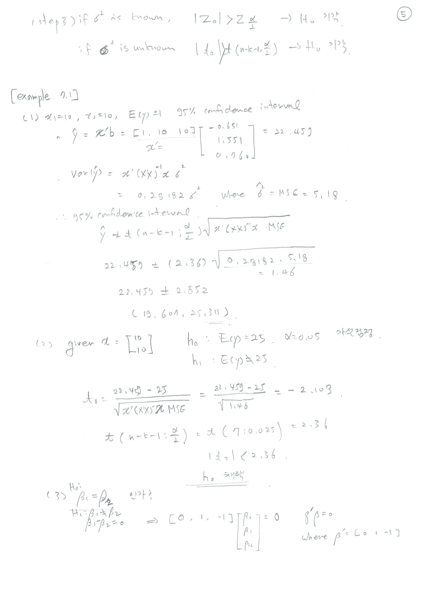
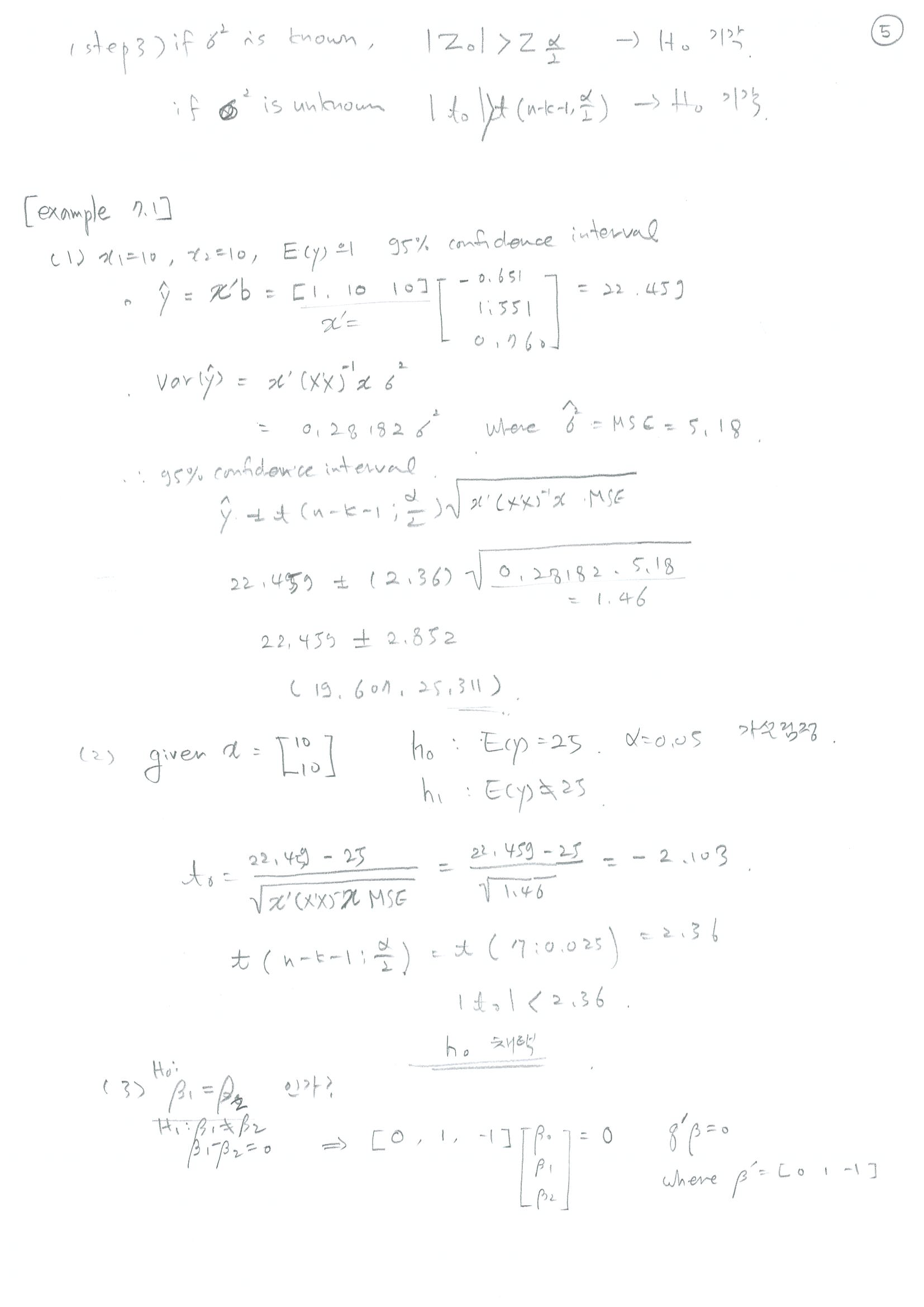
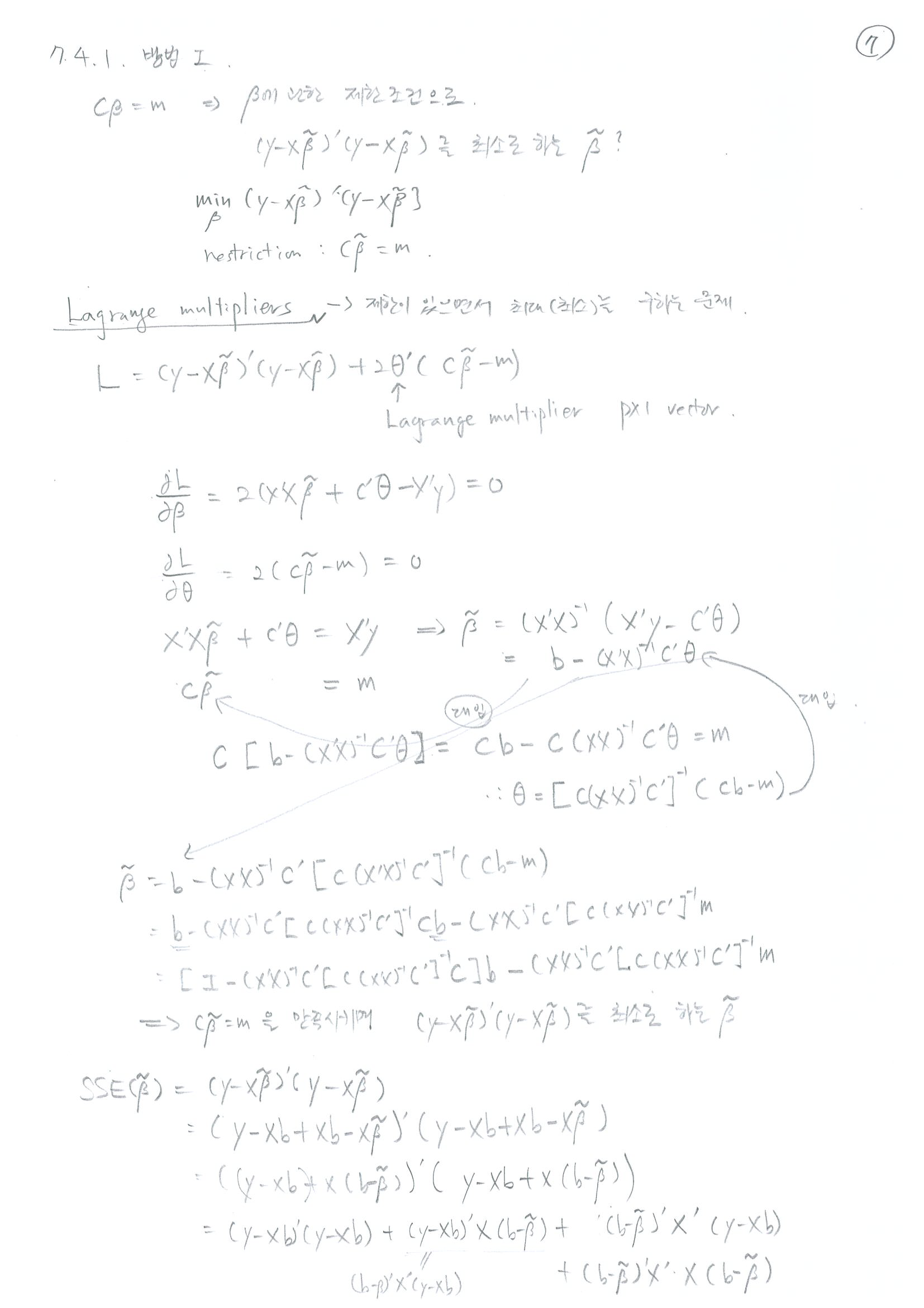
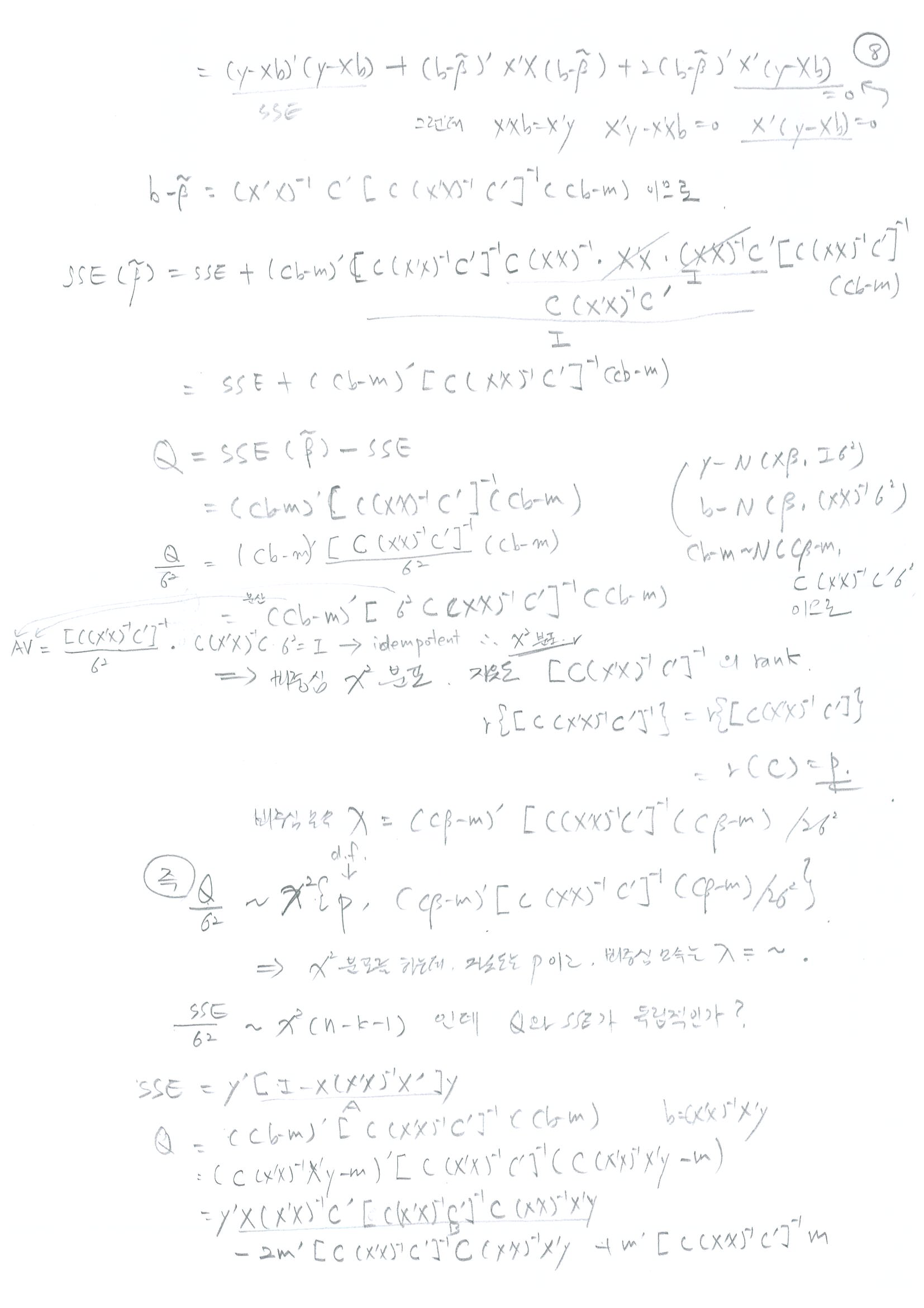
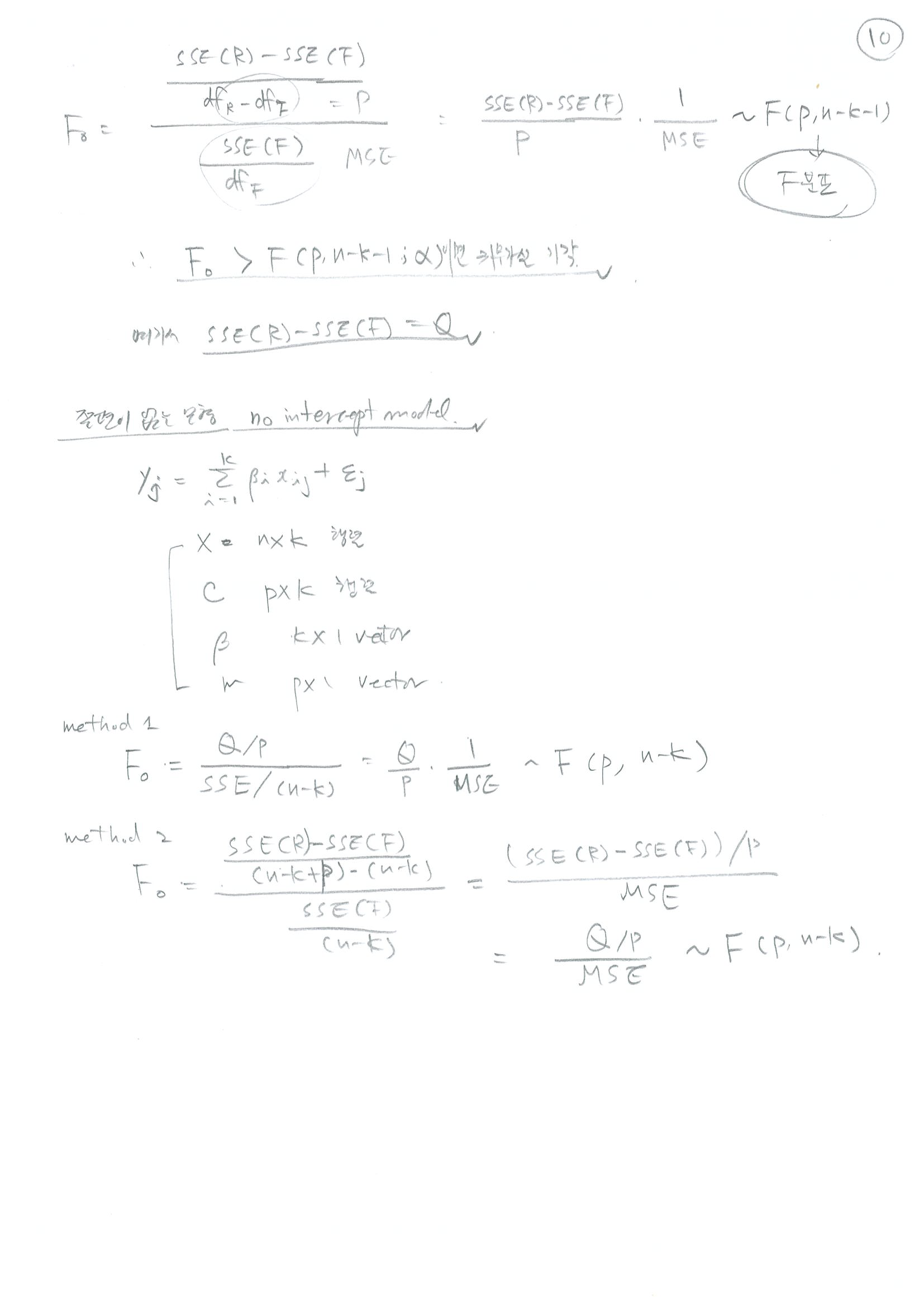
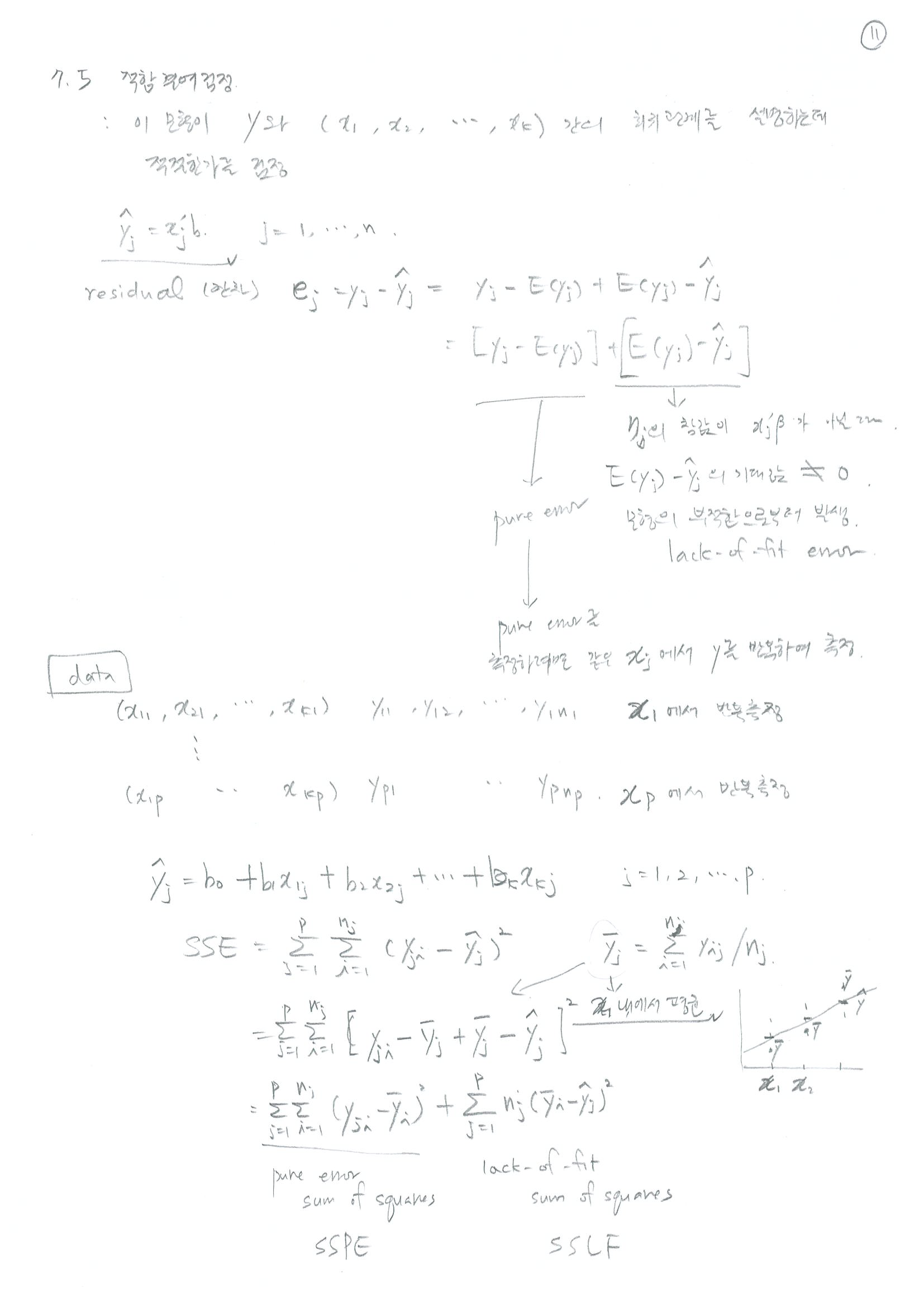
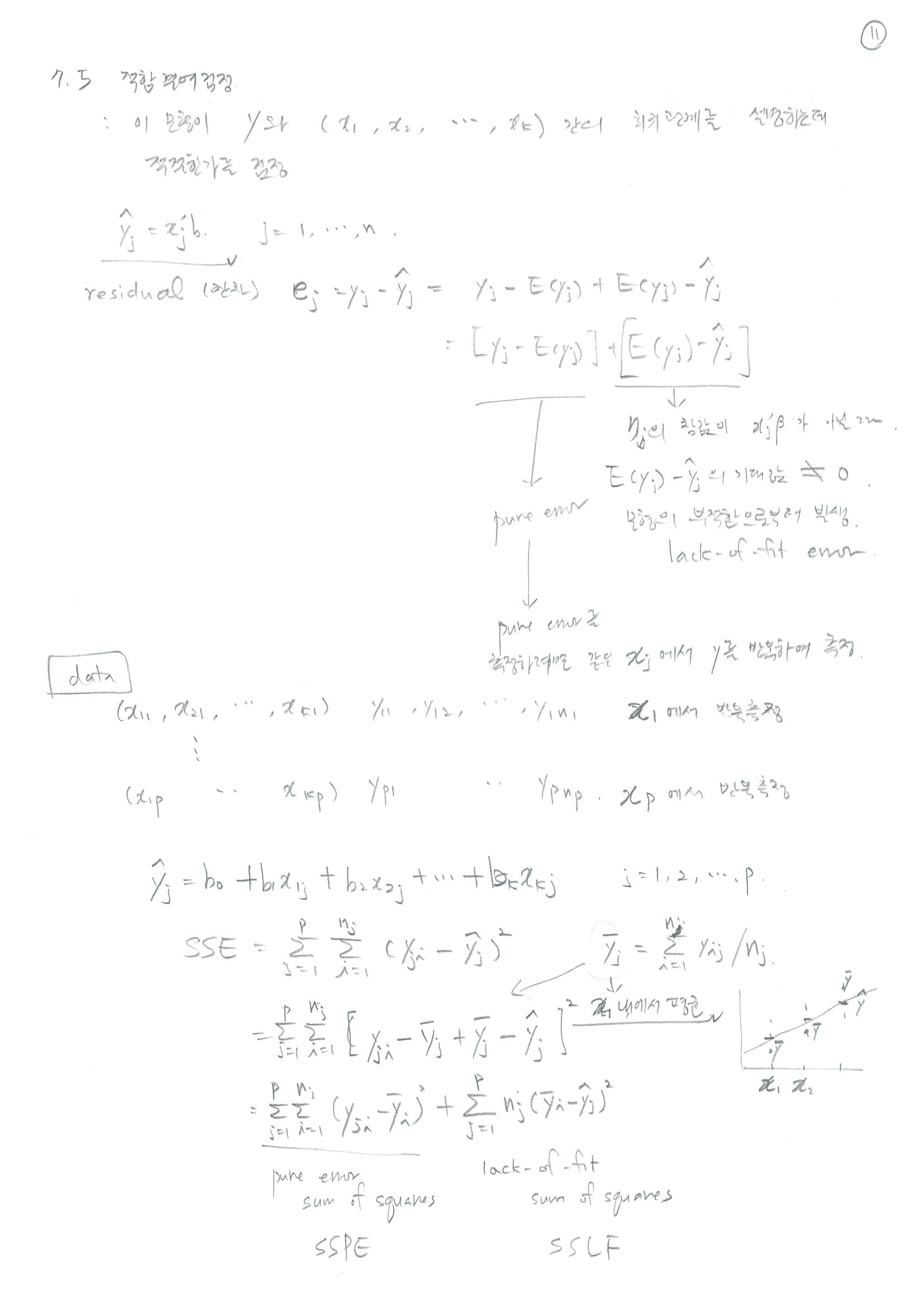
7장. 추정과 가설검정(I)














'ETC' 카테고리의 다른 글
| 회귀분석 - 일반화 회귀분석 (0) | 2020.03.01 |
|---|---|
| 회귀분석 - 다항회귀 (0) | 2020.03.01 |
| 주소를 이용하여 다중 마커와 다중 인포윈도우 표시하기(Kakao 지도 API) (3) | 2019.12.29 |
| jqWidgets의 jqxGrid : server side filtering (0) | 2017.11.03 |
| jqWidgets의 jqxGrid : server side sorting (0) | 2017.10.30 |