박성현 회귀분석 제3판 민영사
제IV편 회귀분석의 확장
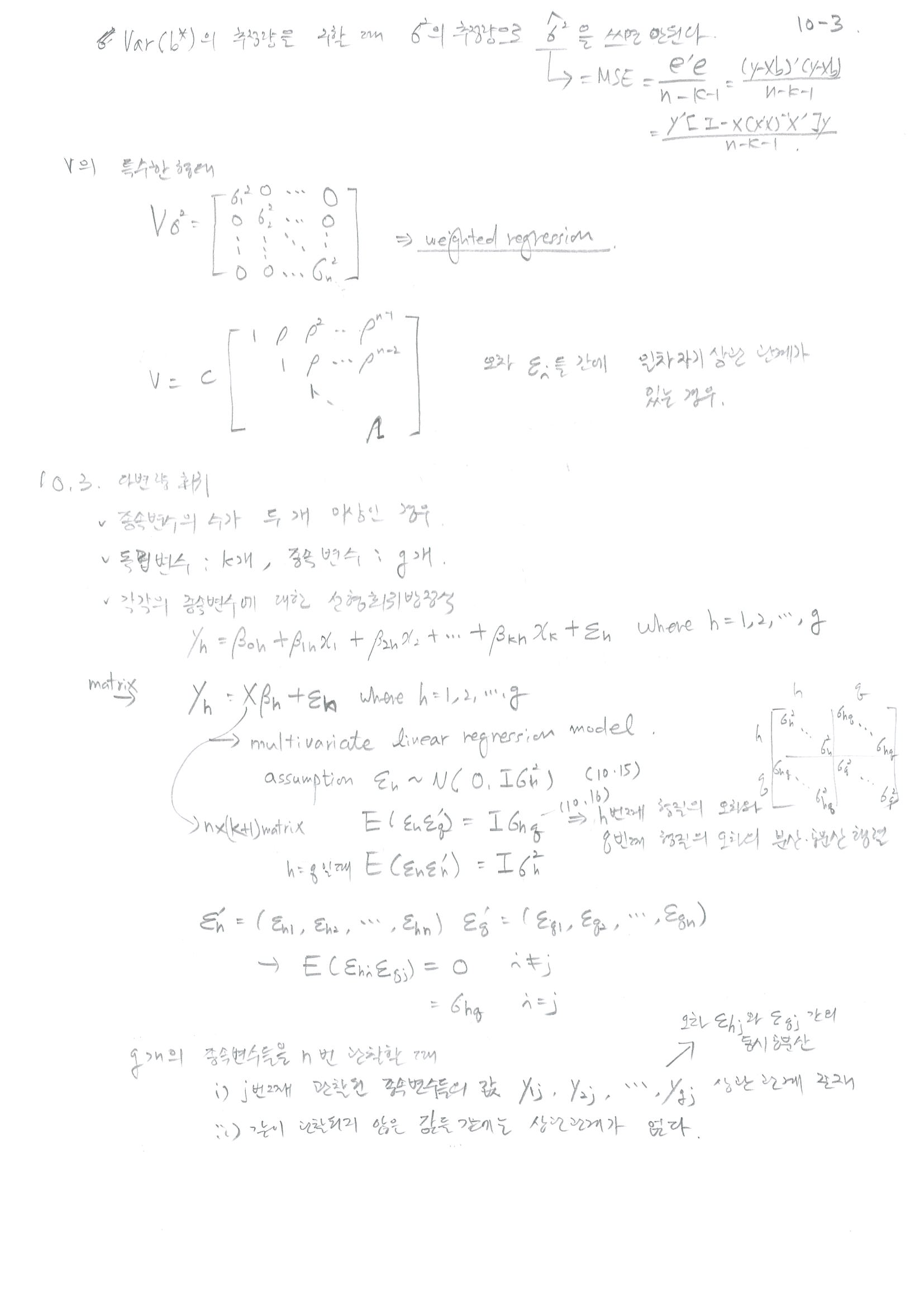
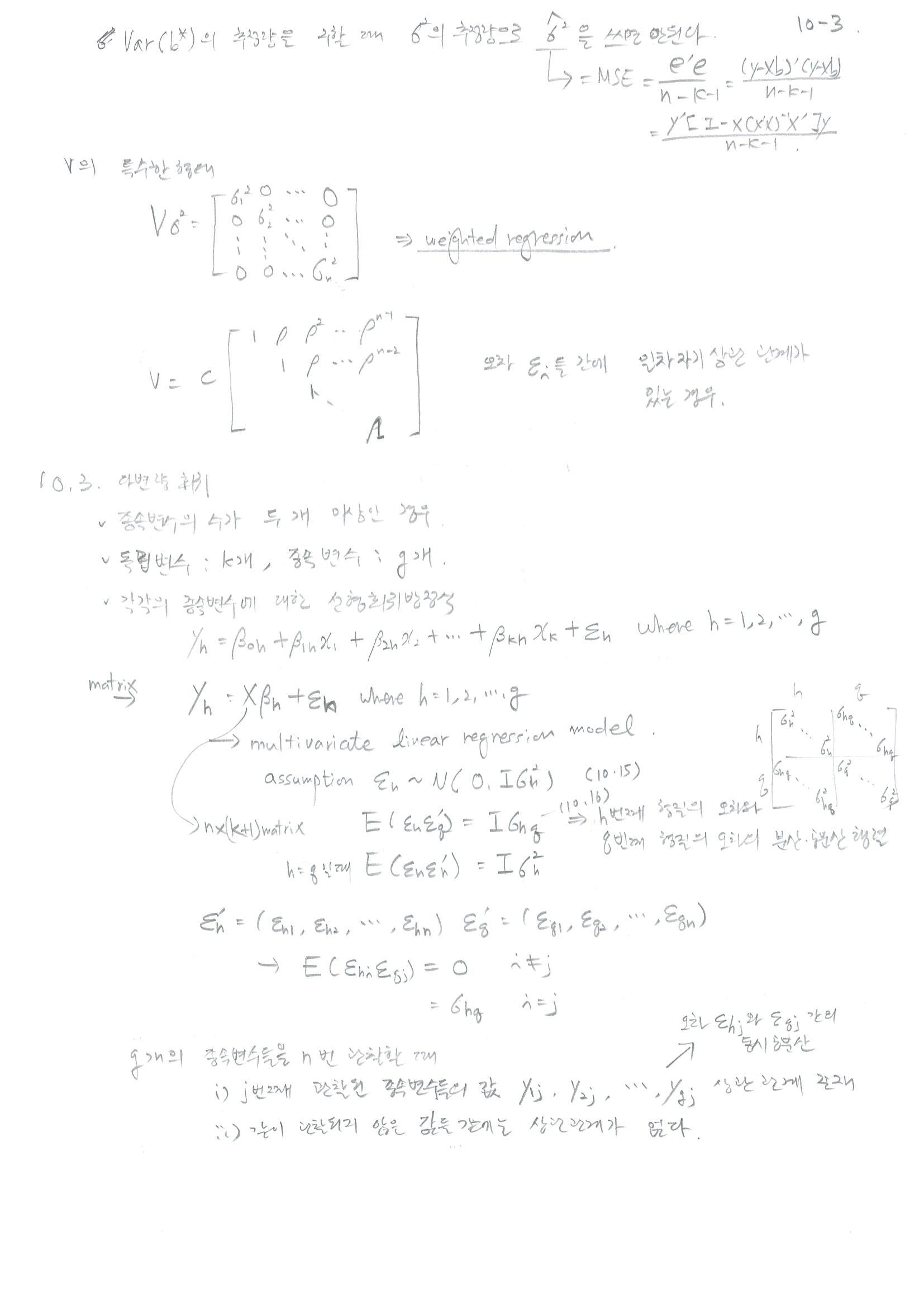
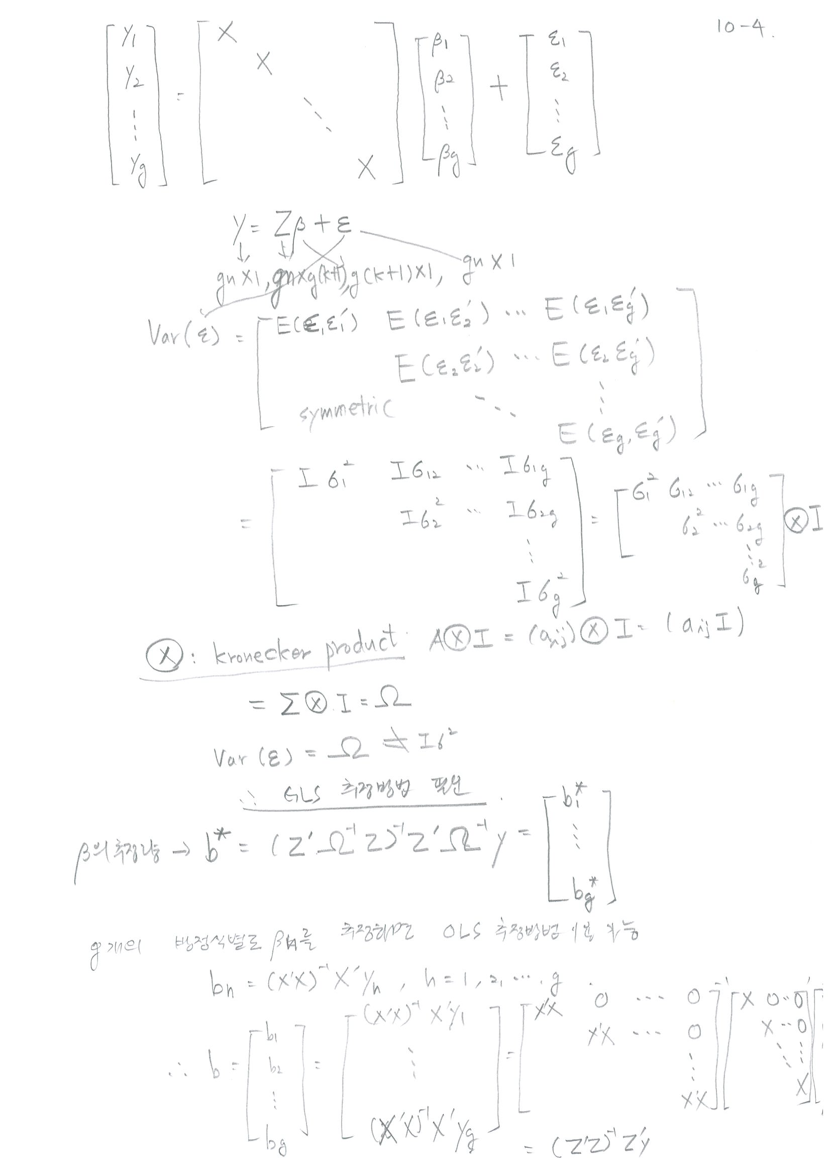
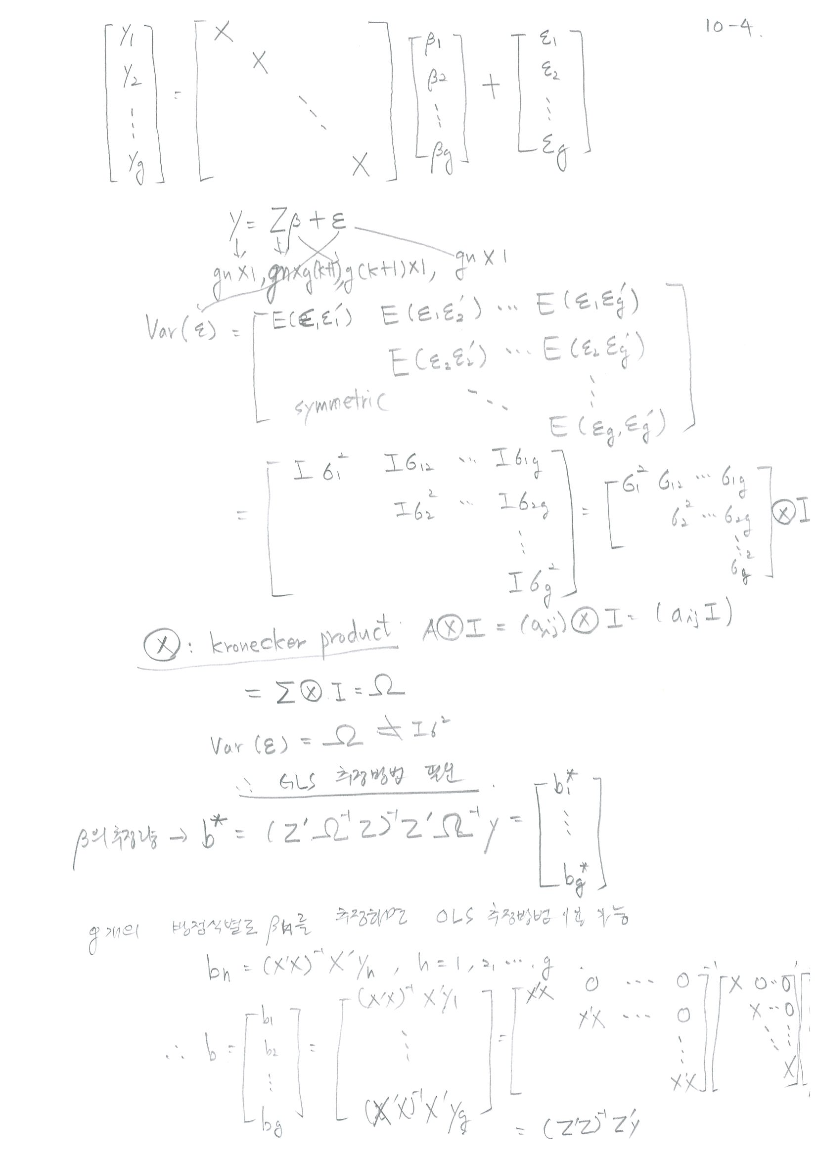
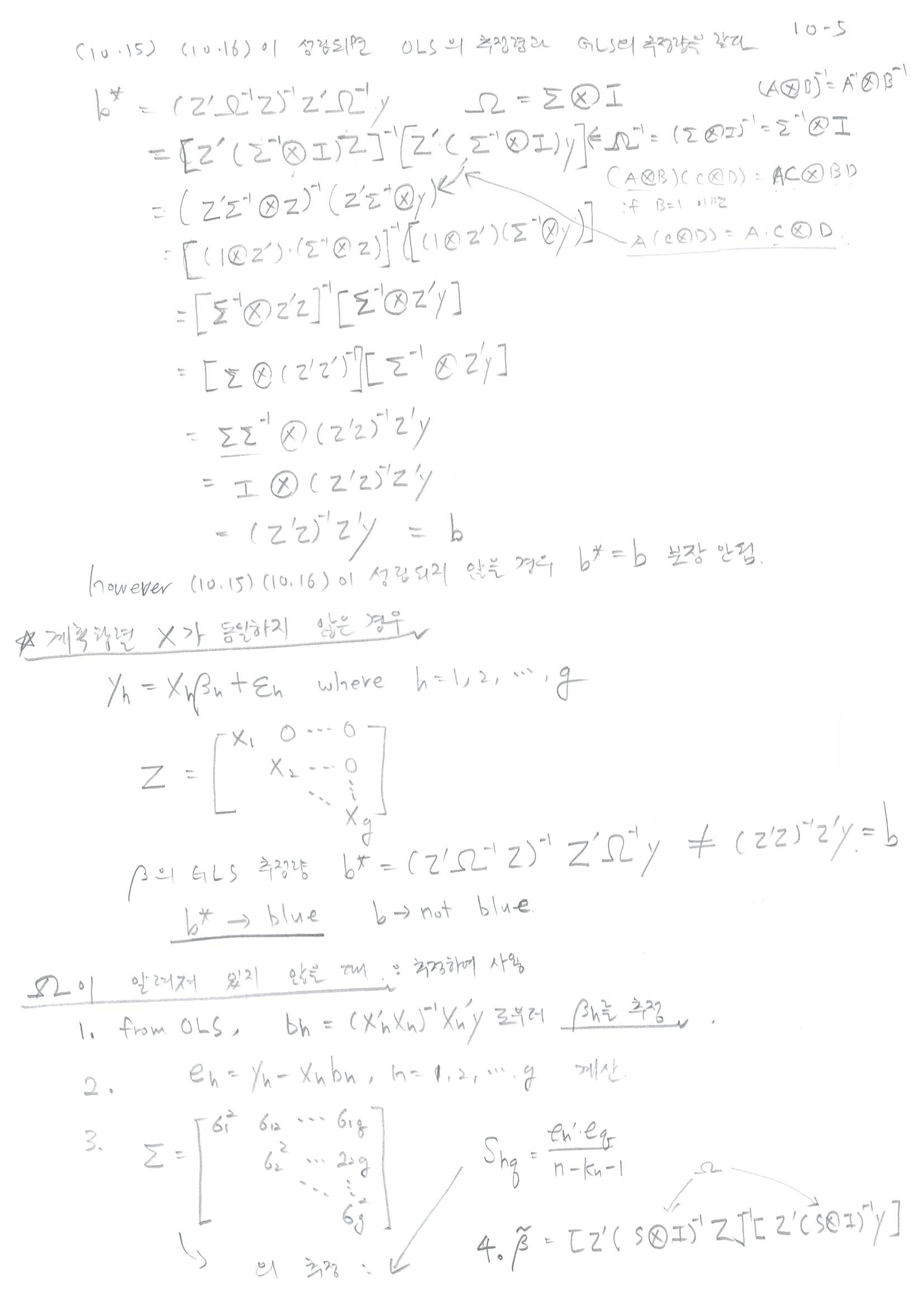
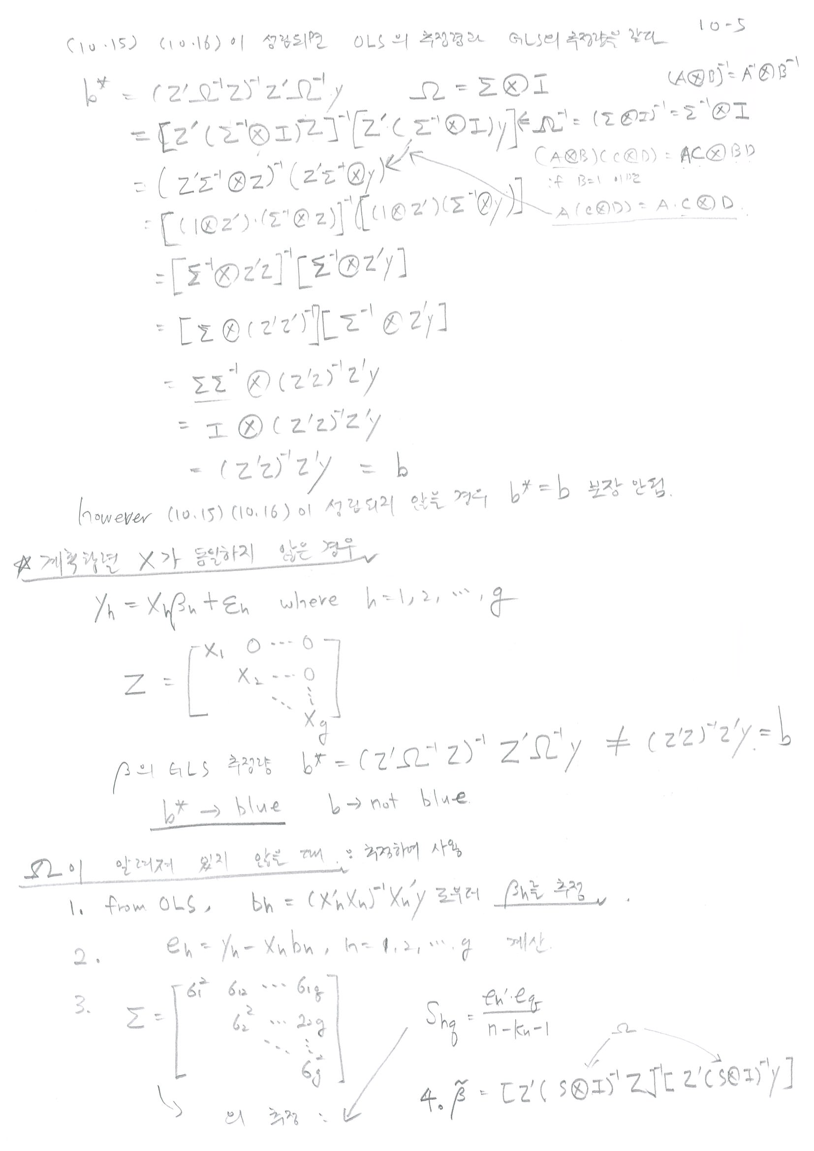
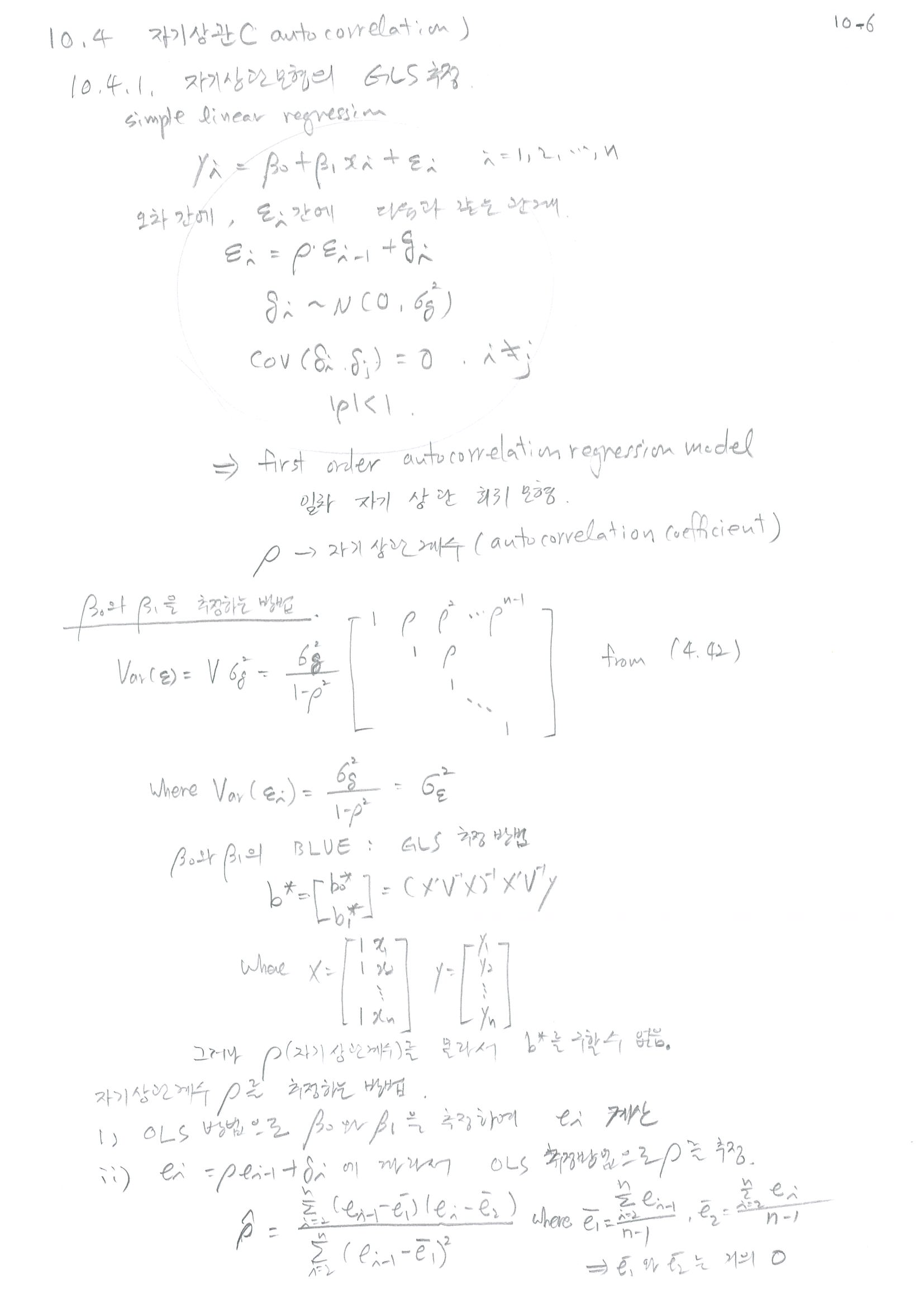
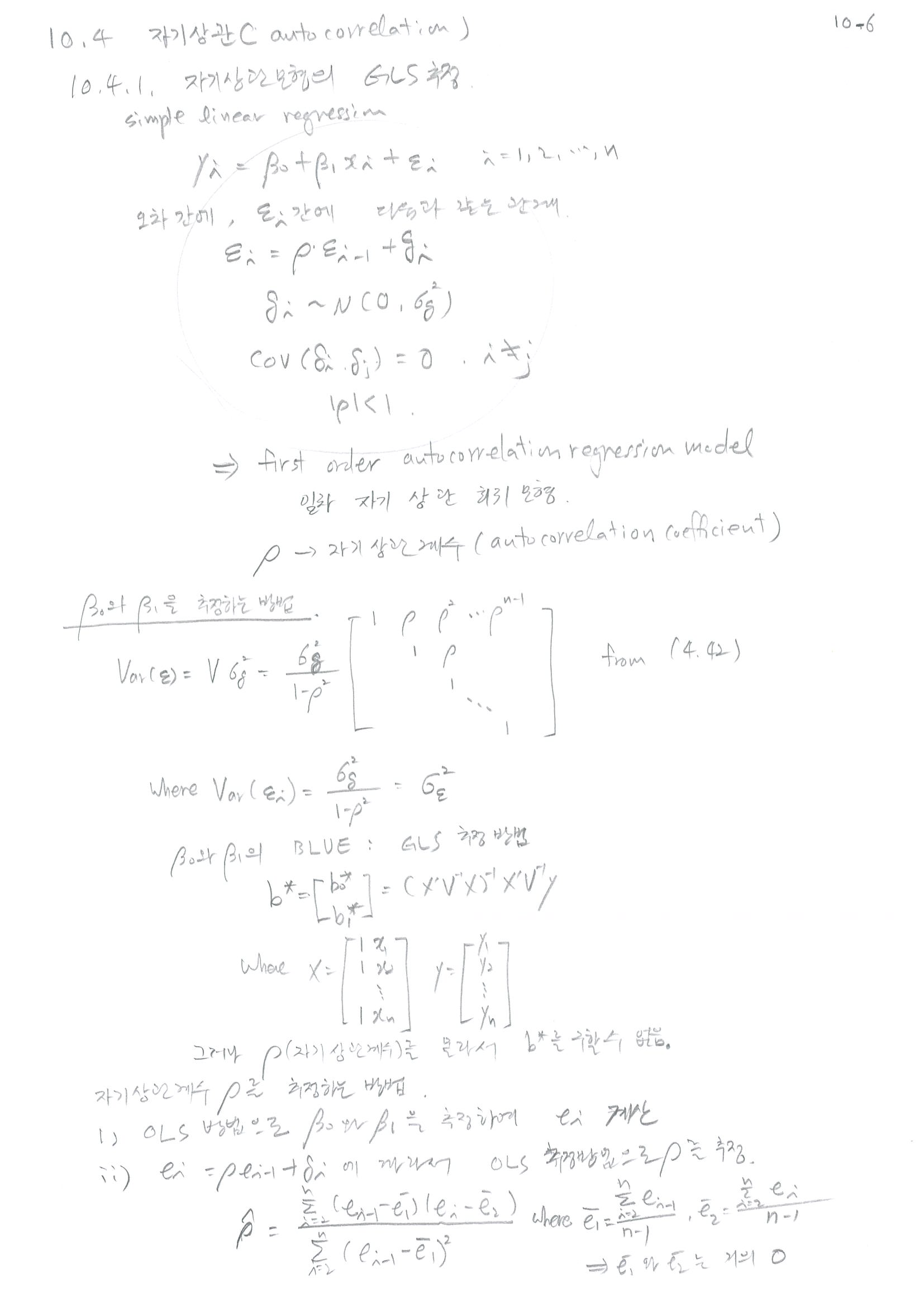
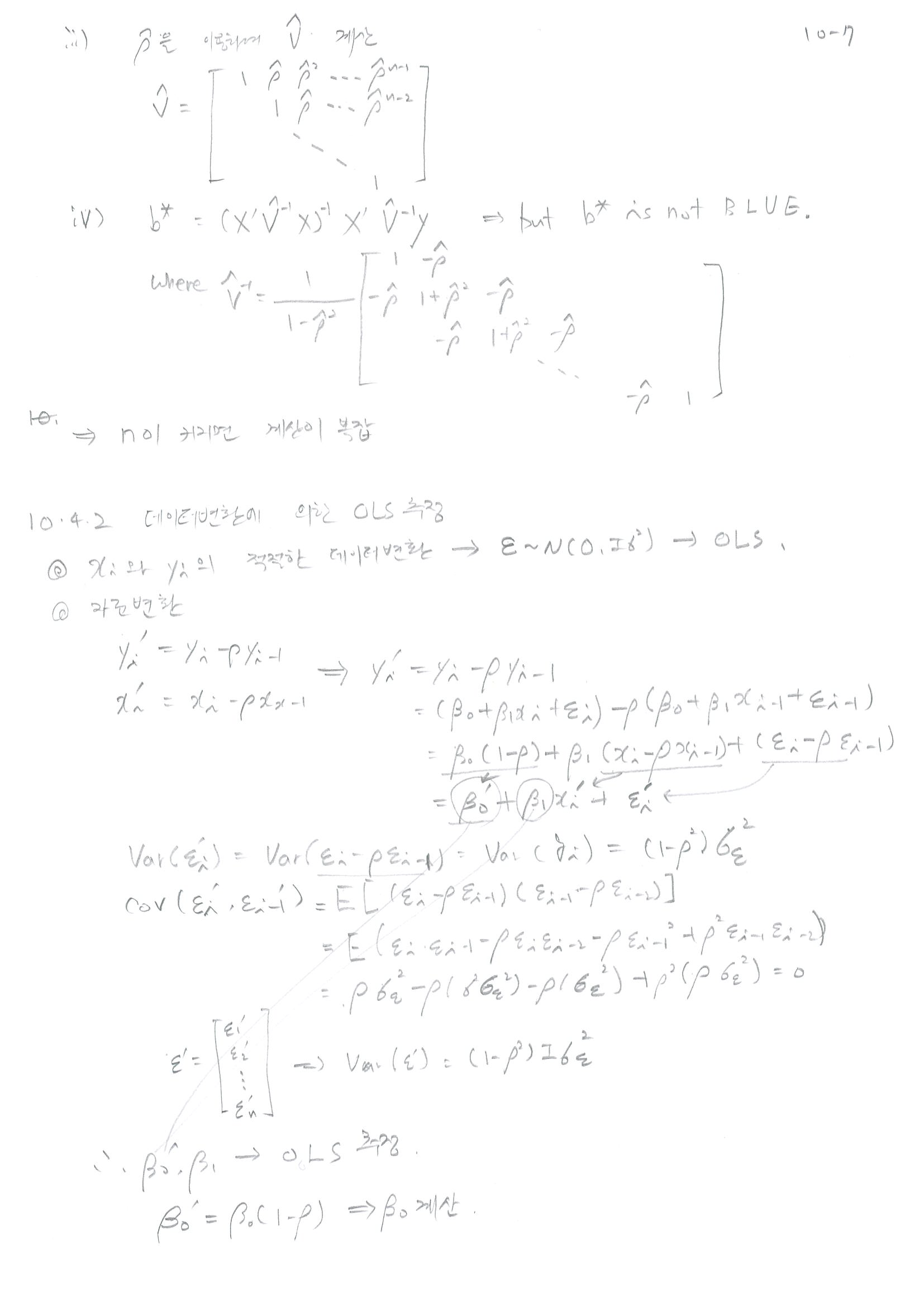
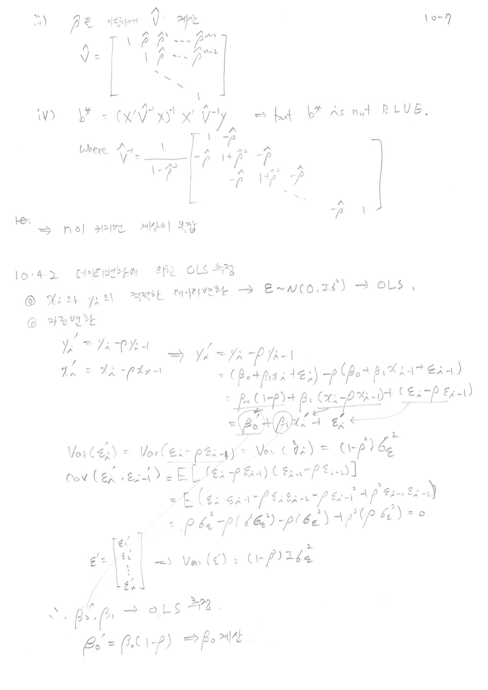
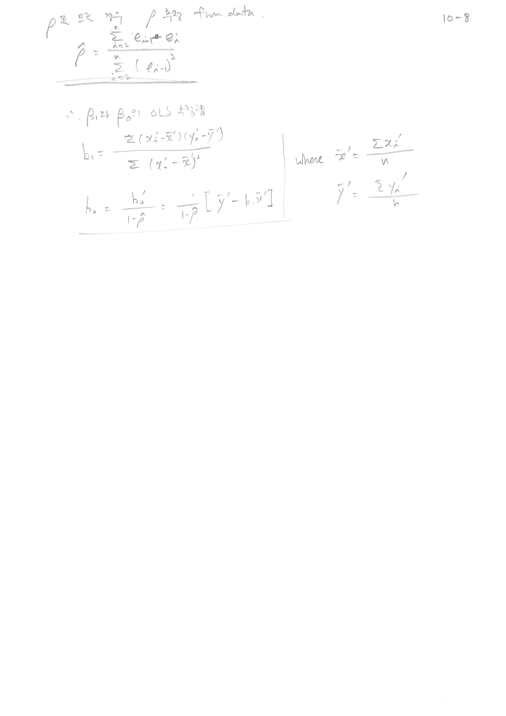
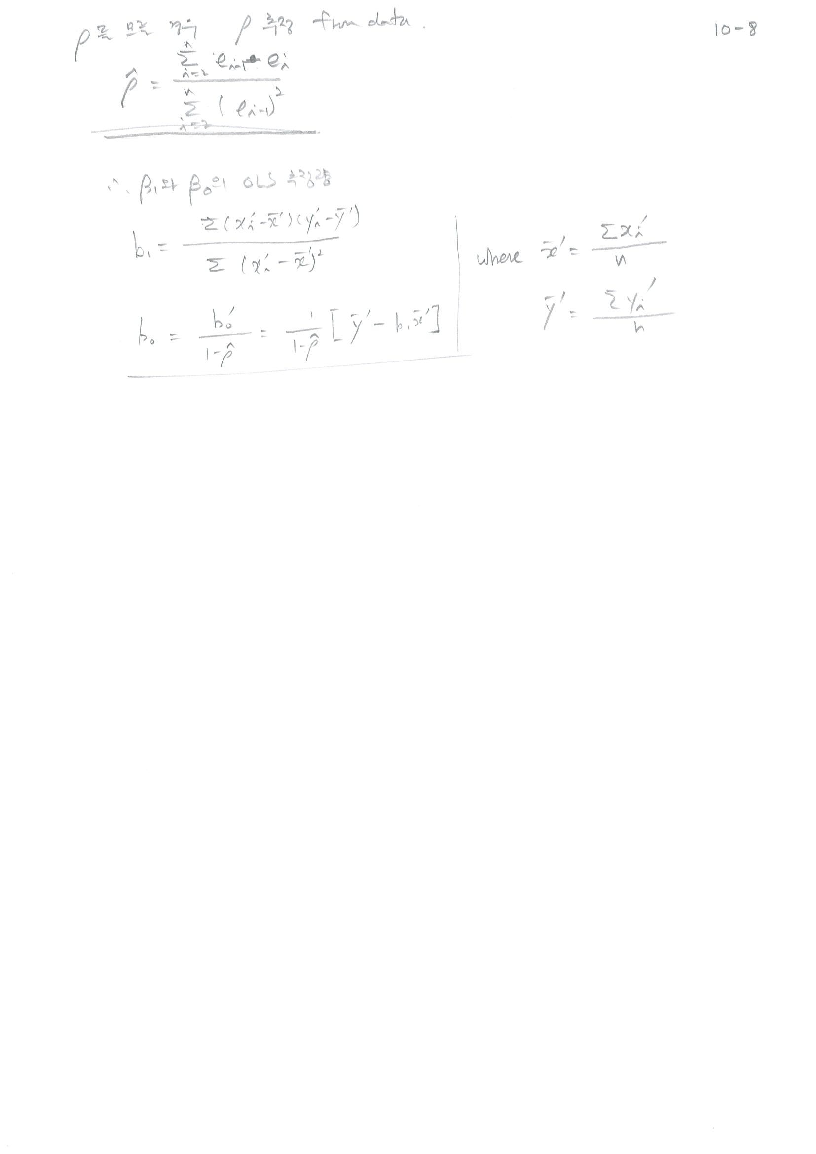
10장. 일반화 회귀분석








'ETC' 카테고리의 다른 글
| 회귀분석 - Piecewise regression (0) | 2020.03.01 |
|---|---|
| 회귀분석 - 가변수 (0) | 2020.03.01 |
| 회귀분석 - 다항회귀 (0) | 2020.03.01 |
| 회귀분석-중회귀분석의 추정과 가설검정 (0) | 2020.02.21 |
| 주소를 이용하여 다중 마커와 다중 인포윈도우 표시하기(Kakao 지도 API) (3) | 2019.12.29 |