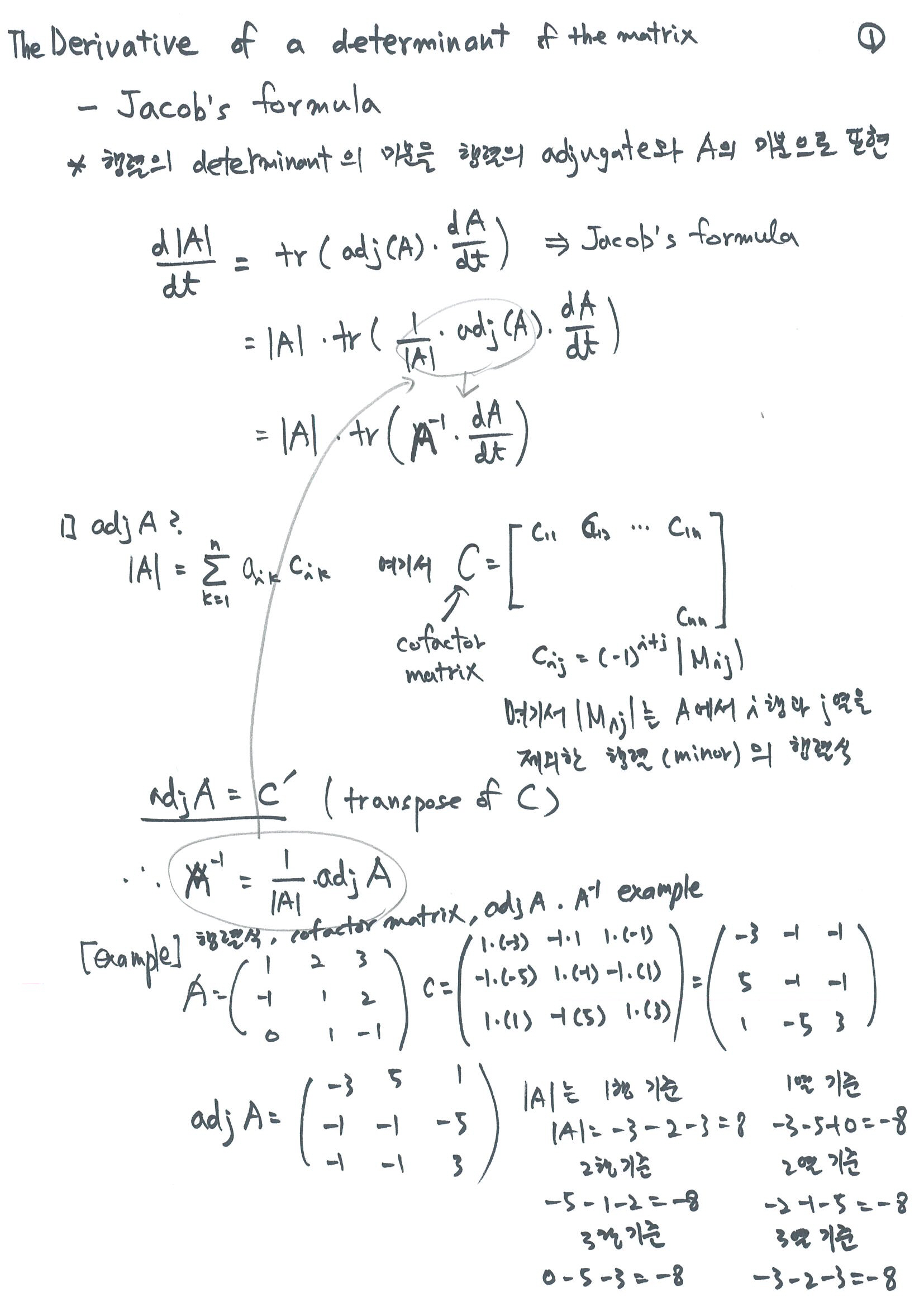
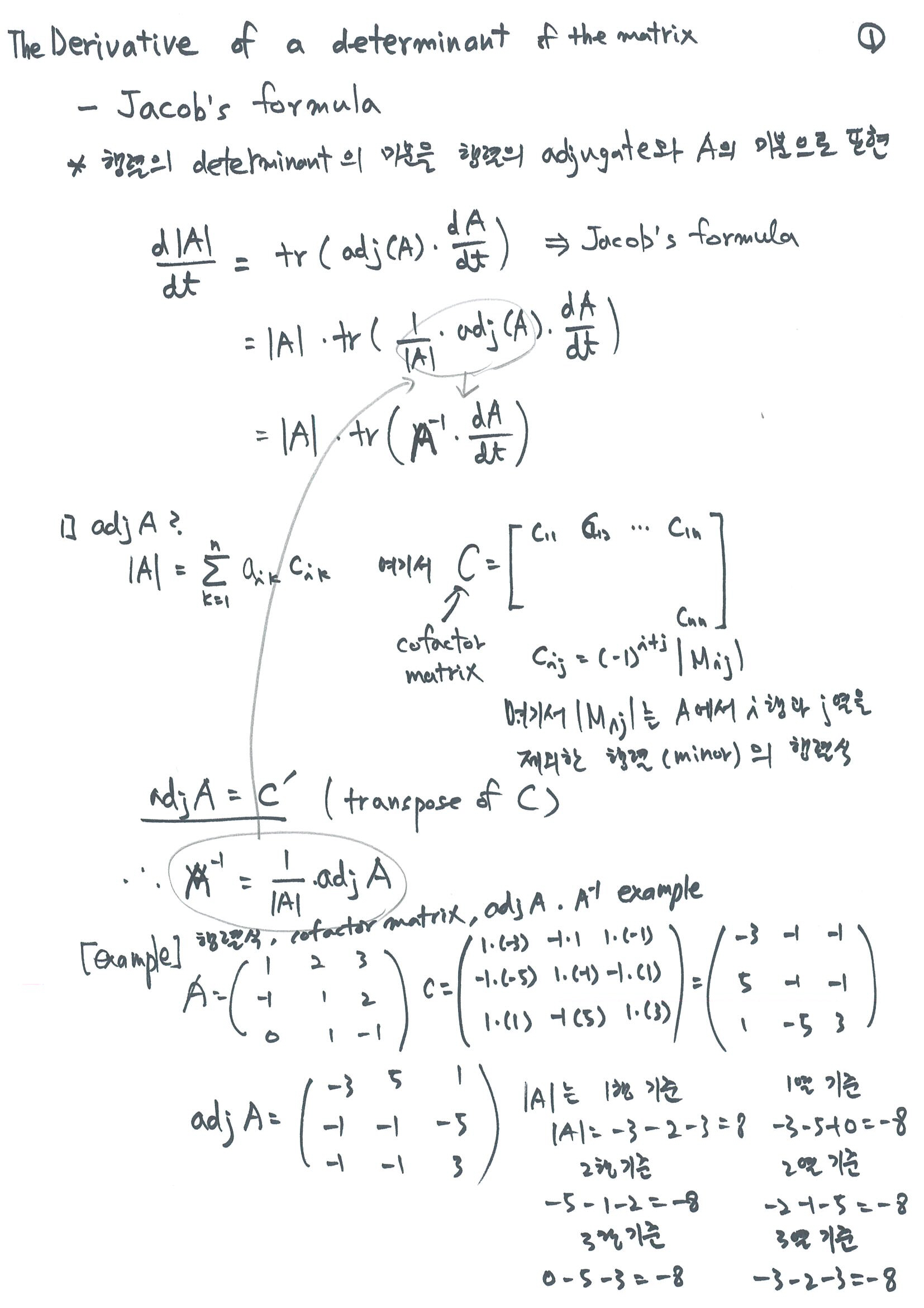
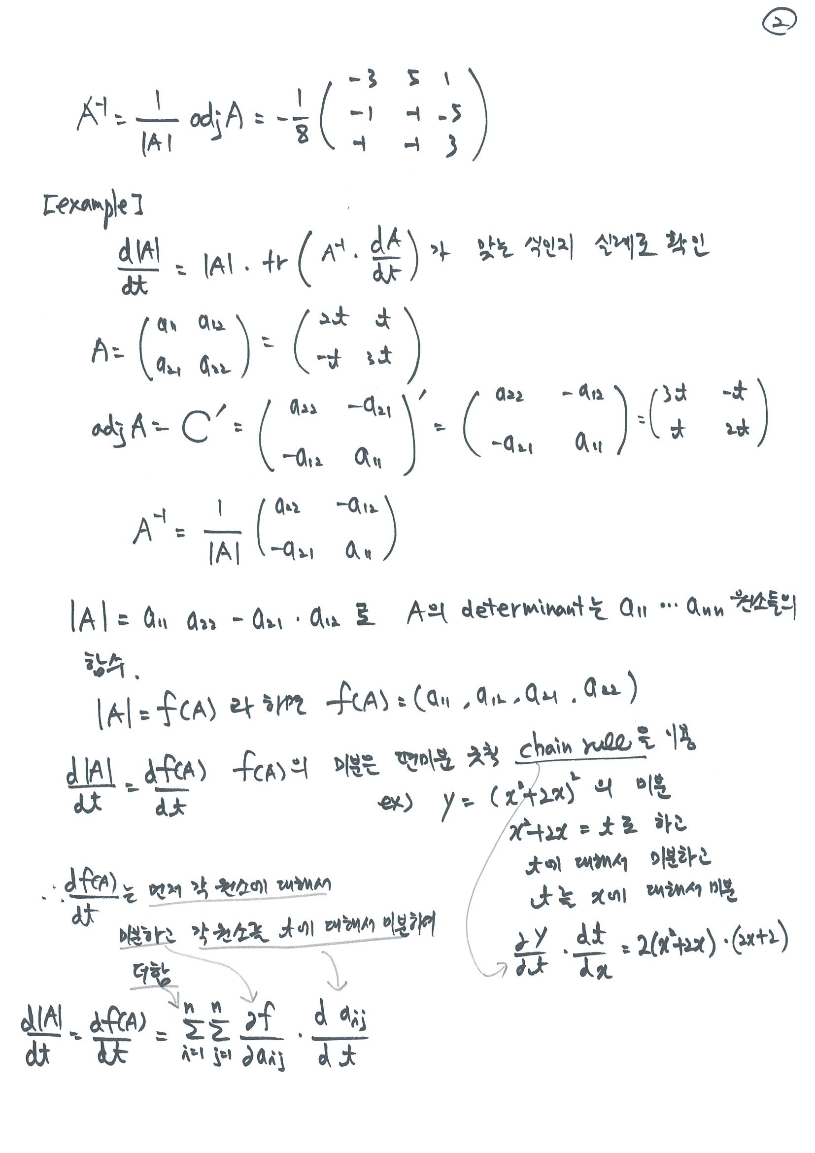
The derivative of a determinant
행렬의 행렬식의 도함수
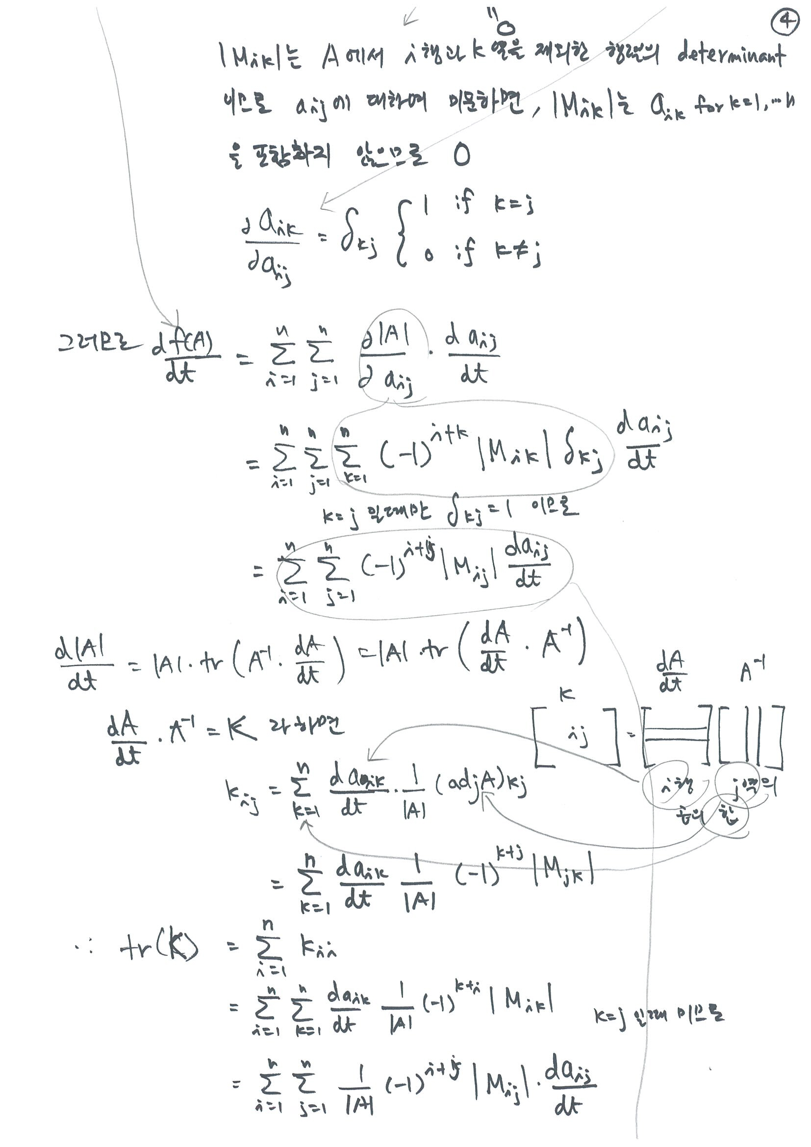
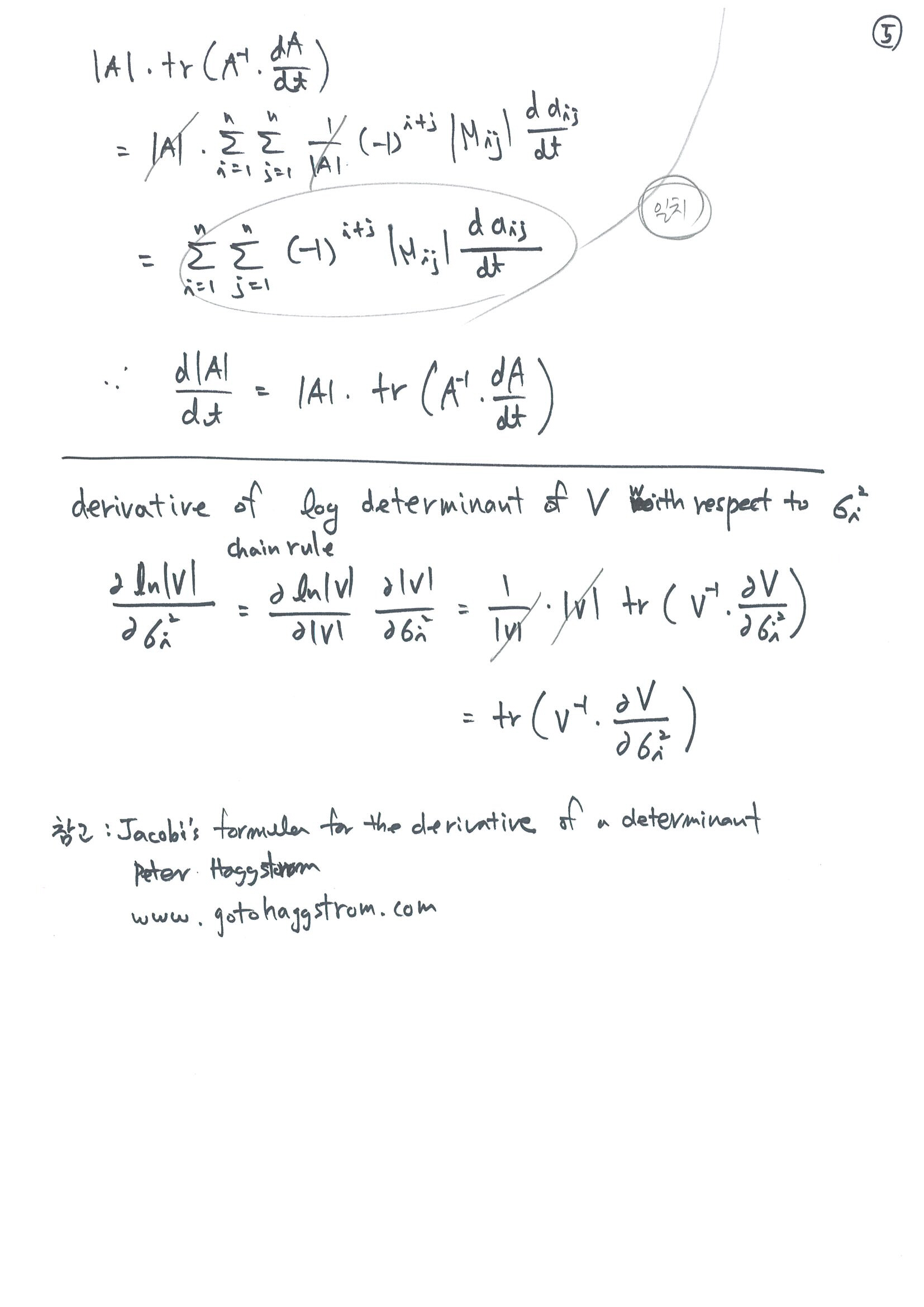
행렬의 행렬식의 미분
로그 행렬식의 미분, 도함수





'ETC' 카테고리의 다른 글
| pgAdmin 4를 이용한 Backup과 Restore (0) | 2020.07.27 |
|---|---|
| PostgreSQL psql을 이용한 role, database, table 생성 (0) | 2020.07.27 |
| 회귀분석 - Piecewise regression (0) | 2020.03.01 |
| 회귀분석 - 가변수 (0) | 2020.03.01 |
| 회귀분석 - 일반화 회귀분석 (0) | 2020.03.01 |